Forum der Vereinigung der Sternfreunde

Forum of the German Amateur Astronomy Association
Aktuelle Zeit: 18. Januar 2026, 01:18:47 AM

Alle Zeiten sind UTC+02:00




Ein neues Thema erstellen  Auf das Thema antworten  [ 21 Beiträge ] 
Autor Nachricht
 Betreff des Beitrags: Entdeckung - C/2018 Y1 (Iwamoto)
BeitragVerfasst: 21. Dezember 2018, 01:45:31 AM 
Offline
Nutzer
Benutzeravatar

Registriert: 01. Juni 2018, 09:58:07 AM
Beiträge: 41
Dieser erst vor wenigen Tagen entdeckte Komet könnte im Februar interessant werden und die 6. Größenklasse erreichen. Die Bahn ist aber noch ziemlich unsicher. Jedenfalls wäre er für Beobachter auf der Nordhalbkugel optimal plaziert und kommt auch der Erde sehr nahe.

https://remanzacco.blogspot.com/2018/12 ... eQWvAndbwU
https://www.minorplanetcenter.net/mpec/K18/K18Y52.html

Bild

_________________
Gruß & cs
Andreas
Bild
---
Meade LXD55 10" f/4 | GSO Dobson 8" f/6 | TS Photoline 80 f/7 | Fujinon 10x70 FMT-SX | AstroTrac TT320X-AG | Canon EOS 1000Da / 6D


Nach oben
   
BeitragVerfasst: 21. Dezember 2018, 08:35:26 AM 
Offline
Meister
Benutzeravatar

Registriert: 20. Januar 2013, 20:03:54 PM
Beiträge: 1980
Wohnort: Leipzig
Als Ergänzung noch der Auszug aus der CBET-Meldung 4588:

Sehr unsichere Elemente aus 12 Beobachtungen an drei Tagen:
Code:
T = 2019 Jan. 25.5883 TT Peri. = 353.2768
Node = 139.7921 2000.0
q = 1.122670 AU Incl. = 160.7131
Daraus berechnete Ephemeride:
Code:
Date TT R. A. (2000) Decl.   Delta  r    Elong. Phase Mag.
2018 12 18 14 17.77 -24 46.1 1.748 1.282  46.2 33.7 11.0
2018 12 23 14 17.47 -24 33.4 1.597 1.246  51.3 38.0 10.7
2018 12 28 14 16.59 -24 16.4 1.437 1.214  56.5 42.5 10.4
2019 01 02 14 14.92 -23 53.4 1.270 1.186  62.0 47.1 10.1
2019 01 07 14 12.11 -23 20.8 1.096 1.162  67.7 51.5  9.7
2019 01 12 14 07.51 -22 32.3 0.915 1.144  74.0 55.7  9.2
2019 01 17 13 59.85 -21 14.6 0.731 1.131  81.1 59.2  8.7
2019 01 22 13 46.17 -18 55.3 0.544 1.124  90.0 61.1  8.1
2019 01 27 13 17.93 -13 51.8 0.360 1.123 103.2 58.6  7.2
2019 02 01 12 00.79 +01 29.7 0.198 1.127 132.0 40.5  5.9
2019 02 06 08 00.27 +35 45.6 0.166 1.138 153.8 22.5  5.5
2019 02 11 05 01.79 +37 55.3 0.309 1.154 115.5 50.6  6.9
2019 02 16 04 08.59 +35 04.8 0.490 1.175  99.8 56.0  8.0
2019 02 21 03 47.11 +33 23.3 0.678 1.201  90.2 55.4  8.8
2019 02 26 03 36.34 +32 23.1 0.866 1.231  82.8 52.9  9.4
Die Magnitude beruht auf einer Absoluthelligkeit von 9,0 mag und einem Aktivitätsparameter von 3.

_________________
Uwe Pilz, Fachgruppen Kometen und Astrophysik/Algorithmen.
Oft benutzte Instrumente: Fujinon 16x70 FMT-SX-2, TMB Apo 105/650, Skywatcher Evostar 120/900 ED, Ninja Dobson 320/1440, Smartscope Dwarf-3


Nach oben
   
 Betreff des Beitrags: Re: Entdeckung - C/2018 Y1 (Iwamoto)
BeitragVerfasst: 26. Dezember 2018, 19:39:28 PM 
Offline
Neueinsteiger

Registriert: 18. November 2018, 22:05:15 PM
Beiträge: 4
Es gibt neue Bahndaten. Basis sind 98 Beobachtungen.

https://ssd.jpl.nasa.gov/sbdb.cgi?sstr= ... ;cad=0#orb


Nach oben
   
 Betreff des Beitrags: Re: Entdeckung - C/2018 Y1 (Iwamoto)
BeitragVerfasst: 05. Februar 2019, 06:05:35 AM 
Offline
Meister

Registriert: 25. Oktober 2016, 20:00:27 PM
Beiträge: 231
Heute um 5 Uhr ein erster Blick auf Iwamoto vom Stadtbalkon aus, fst. 4,5 mag. Im 10x70 Sterne bis ca. 9,3 mag. Komet indirekt sichtbar, schwierig zu schätzen, ca. 8 mag und 7' groß.


Nach oben
   
 Betreff des Beitrags: Re: Entdeckung - C/2018 Y1 (Iwamoto)
BeitragVerfasst: 05. Februar 2019, 07:19:04 AM 
Offline
Meister
Benutzeravatar

Registriert: 20. Januar 2013, 20:03:54 PM
Beiträge: 1980
Wohnort: Leipzig
Ich selbst hatte noch kein Glück, warte aber jede Nacht darauf, das es klappt. Wer es auch versucht: Besorgt euch aktuelle Bahelemente! Es waren bis in weit in den Januar hinein nur wenige Beobachtung verfügbar und die damals publizierten Bahndaten sind unsicher.

Volker Kasten hat den Kometen gesehen, 7m5 hell, mit einem kleinen Schweif. Er schreibt:
Zitat:
Er zeigte sich vor allem im 20x80B als ein großes, recht
hübsches Objekt. Vergleichssterne ließen sich im 20x80B allerdings nicht
auf Komagröße defokussieren, so dass ich die Schätzungen mit dem 15x50
IS gemacht habe. Allerdings habe ich den Kometen erst nach einigem
Suchen gefunden, fast 1° von der Stelle entfernt, die mir GUIDE
angezeigt hatte - dabei hatte ich die Elemente extra von der
Yoshida-Seite in GUIDE übertragen, allerdings schon im Januar.
Walter Kutschera hat ihn im 21-Zöller angesehen und ermittelt nur etwa 10 mag. Hier zeigt sich wieder, das große Instrumente die Helligkeit unterschätzen. Er schreibt:
Zitat:
Komet zeigt sich als flächiges Nebelrund mit etwas Kernkondensation
Juan José Gonzales hat übrigens 6 mag Helligkeit angegeben, und einen sehr große, schwache äußere Koma. Seine Messergebnisse weichen bei diffusen Kometn stark zu größeren Magnituden ab und lassen sich auch nicht mit Thomas' sehr sorgfältigen elektronischen Messungen in Übereinklang bringen.

_________________
Uwe Pilz, Fachgruppen Kometen und Astrophysik/Algorithmen.
Oft benutzte Instrumente: Fujinon 16x70 FMT-SX-2, TMB Apo 105/650, Skywatcher Evostar 120/900 ED, Ninja Dobson 320/1440, Smartscope Dwarf-3


Nach oben
   
 Betreff des Beitrags: Re: Entdeckung - C/2018 Y1 (Iwamoto)
BeitragVerfasst: 05. Februar 2019, 09:38:38 AM 
Offline
Dauernutzer
Benutzeravatar

Registriert: 20. Oktober 2016, 07:46:12 AM
Beiträge: 131
Wohnort: Zwischen HH und HB
hallo Forum,

Uwe:
danke für die Schilderungen.

Ich sah den Kometen gestern Morgen ( 4.2.19 0:30 MEZ) zum 2.ten mal.

Auch meine Bahndaten wichen ab, zudem suchte ich ihn 2 Stunden früher auf als gedacht.
Ich rührte im Suchfeld herum und fand ihn dann schließlich. Iwamoto ist ja schon recht schnell unterwegs.
Wie sich dann beim Abgleich mit meiner Suchkarte zeigte stand er genau am oberen Rand.
Innerhalb von einer 3/4 Std. war die Bewegung gut erkennbar.

Ich nutzte als Kompromiss meinen 7.8" Reisedobson :

7.3 mag, DC 3, Durchm. 9`
in 12° Höhe gemessen.
Man kann daher von einem größeren Durchm. ausgehen...

Der Swanfilter sprach später sehr gut an.

Gruß
Christian


Nach oben
   
 Betreff des Beitrags: Re: Entdeckung - C/2018 Y1 (Iwamoto)
BeitragVerfasst: 06. Februar 2019, 09:45:34 AM 
Offline
Meister
Benutzeravatar

Registriert: 20. Januar 2013, 20:03:54 PM
Beiträge: 1980
Wohnort: Leipzig
Ich war heute morgenan meinem ländlichen Beobachtungsplatz. Der Komet ist fast 1/4 Grad groß, hell (7m6) und kein schwieriges Ziel für das 7x50-Fernglas. Er ist prachtvoll im 16x70-Fernglas. Die zum Fernglas gehörenden Breitband-Nebelfilter wirken gut.

Ich sah keinen Schweif, aber eine exzentrische Kondensation, s. Bild.


Dateianhänge:
iwamoto2.jpg
iwamoto2.jpg [ 45.07 KiB | 8777 mal betrachtet ]

_________________
Uwe Pilz, Fachgruppen Kometen und Astrophysik/Algorithmen.
Oft benutzte Instrumente: Fujinon 16x70 FMT-SX-2, TMB Apo 105/650, Skywatcher Evostar 120/900 ED, Ninja Dobson 320/1440, Smartscope Dwarf-3
Nach oben
   
 Betreff des Beitrags: Re: Entdeckung - C/2018 Y1 (Iwamoto)
BeitragVerfasst: 06. Februar 2019, 10:06:41 AM 
Offline
Meister
Benutzeravatar

Registriert: 20. Januar 2013, 20:03:54 PM
Beiträge: 1980
Wohnort: Leipzig
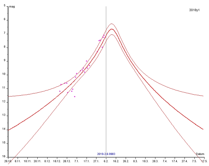
Ich habe mal eine aktualisierte Lichtkurve berechnet. Wie ihr seht, erleben wir in den nächsten Tagen das Helligkeitsmaximum, und der Mond stört nicht am Morgenhimmel. DIe Beste Beobachtungszeit ist gegen 3:30 h.


Dateianhänge:
lc_iwamoto.jpg
lc_iwamoto.jpg [ 72.44 KiB | 8772 mal betrachtet ]

_________________
Uwe Pilz, Fachgruppen Kometen und Astrophysik/Algorithmen.
Oft benutzte Instrumente: Fujinon 16x70 FMT-SX-2, TMB Apo 105/650, Skywatcher Evostar 120/900 ED, Ninja Dobson 320/1440, Smartscope Dwarf-3
Nach oben
   
 Betreff des Beitrags: Re: Entdeckung - C/2018 Y1 (Iwamoto)
BeitragVerfasst: 06. Februar 2019, 22:58:56 PM 
Offline
Meister
Benutzeravatar

Registriert: 20. Januar 2013, 20:03:54 PM
Beiträge: 1980
Wohnort: Leipzig
Sterne und Weltraum / Spektrum hat mich gebeten, ein paar Worte zu Iwamoto zu schreiben. Das will ich euch nicht vorenthalten:

https://www.spektrum.de/news/der-ueberr ... to/1622596

_________________
Uwe Pilz, Fachgruppen Kometen und Astrophysik/Algorithmen.
Oft benutzte Instrumente: Fujinon 16x70 FMT-SX-2, TMB Apo 105/650, Skywatcher Evostar 120/900 ED, Ninja Dobson 320/1440, Smartscope Dwarf-3


Nach oben
   
 Betreff des Beitrags: Re: Entdeckung - C/2018 Y1 (Iwamoto)
BeitragVerfasst: 08. Februar 2019, 21:46:19 PM 
Offline
Meister

Registriert: 08. Oktober 2016, 10:45:39 AM
Beiträge: 732
Wohnort: Köditz
Ich habe ihn vom 6./7.2.2019 endlich auch erwischt. Die Auswertung d Bilder läuft gerade im Hintergrund! Bin schon geannt, was bei diesem schnellen Objekt rauskommt. Die Belichtngszeit musste ich recht kurz halten.

Viele Grüße

Steffen


Nach oben
   
 Betreff des Beitrags: Re: Entdeckung - C/2018 Y1 (Iwamoto)
BeitragVerfasst: 09. Februar 2019, 03:54:28 AM 
Offline
Meister

Registriert: 25. Oktober 2016, 20:00:27 PM
Beiträge: 231
9.2., 2 Uhr, fst. 5,0 mag, Stuttgart. Komet diesmal im 10x70 leicht zu sehen, 7,2 mag, 10'. Im 80-mm-Refraktor bei 20x nicht besser.

Nun noch ein Foto, Belichtungszeit genau eine Wolkenlücke lang, das waren 10 Minuten. Canon 6D mit 85 mm, f/4.0, ISO 1000, 20 x 30 s. Der Ausschnitt entspricht ca. 400 mm Brennweite.


Dateianhänge:
2019-02-09_C2018Y1_Melchert_800px.jpg
2019-02-09_C2018Y1_Melchert_800px.jpg [ 161.44 KiB | 8548 mal betrachtet ]
Nach oben
   
 Betreff des Beitrags: Re: Entdeckung - C/2018 Y1 (Iwamoto)
BeitragVerfasst: 09. Februar 2019, 12:30:39 PM 
Offline
Meister

Registriert: 25. Oktober 2016, 20:00:27 PM
Beiträge: 231
Am Abend des 13.2. zieht Iwamoto übrigens ziemlich genau über NGC 2903 hinweg, die Abbildung aus Guide zeigt die Situation um 22:27 MEZ (Bahnelemente sind aktuell). Der "Überflug" dauert etwa eine halbe Stunde, also etwa 22:12 bis 22:42 MEZ, Höhe 55 Grad bei Azimut 130 Grad. Der Komet bewegt sich mit rund 18'' pro Minute. Fotografisch eine Herausforderung.


Dateianhänge:
C2018Y1_NGC2903.jpg
C2018Y1_NGC2903.jpg [ 182.91 KiB | 8507 mal betrachtet ]
Nach oben
   
 Betreff des Beitrags: Re: Entdeckung - C/2018 Y1 (Iwamoto)
BeitragVerfasst: 09. Februar 2019, 12:48:08 PM 
Offline
Meister

Registriert: 02. September 2017, 10:40:01 AM
Beiträge: 739
Hallo

Ich kann eine Animation vom 7.2. beisteuern mit 27x90 Sekunden 8"/2.0 RASA und Asi 1600

BEste Grüße Michael Jäger

und hier

http://spaceweathergallery.com/indiv_up ... j2khh8sri6


Dateianhänge:
2018Y1feb7gifkometarwebbw.gif
2018Y1feb7gifkometarwebbw.gif [ 7.36 MiB | 8503 mal betrachtet ]
Nach oben
   
 Betreff des Beitrags: Re: Entdeckung - C/2018 Y1 (Iwamoto)
BeitragVerfasst: 12. Februar 2019, 19:51:19 PM 
Offline
Meister

Registriert: 02. September 2017, 10:40:01 AM
Beiträge: 739
Hallo

Der Schweif beginnt seine Lage zu ändern. Aufnahme vom 11.2. um 23.45 UT mit 5x30 Sekunden

sowie Gif
http://spaceweathergallery.com/full_ima ... 993152.gif

lg
Michael Jäger


Dateianhänge:
2019Y1feb11UT2347s5x30.jpg
2019Y1feb11UT2347s5x30.jpg [ 894.63 KiB | 8360 mal betrachtet ]
Nach oben
   
 Betreff des Beitrags: Re: Entdeckung - C/2018 Y1 (Iwamoto)
BeitragVerfasst: 12. Februar 2019, 22:59:19 PM 
Offline
Meister

Registriert: 02. September 2017, 10:40:01 AM
Beiträge: 739
Hallo noch eine Aufnahme vom 12.2. mit Larson Sekanina verarbeitet vom 12.2. mit 23x50 Sekunden, die Diagonale entspricht knapp 3 Grad Beste Grüße Miichae Jäger


Dateianhänge:
zforsec24x50forlsMJ.jpg
zforsec24x50forlsMJ.jpg [ 378.31 KiB | 8346 mal betrachtet ]
Nach oben
   
 Betreff des Beitrags: Re: Entdeckung - C/2018 Y1 (Iwamoto)
BeitragVerfasst: 14. Februar 2019, 00:36:17 AM 
Offline
Nutzer
Benutzeravatar

Registriert: 01. Juni 2018, 09:58:07 AM
Beiträge: 41
Warum gibt das MPC die Helligkeit von Iwamoto mit 10 mag an? Das ist mir schon bei Wirtanen aufgefallen, dass die berechnete Helligkeit aus den Ephemeriden nicht den aktuellen Beobachtungen entspricht.

Hier meien Notiz in meinem Beobachtungsbuch für Iwamoto: 11.2.19, 20:45 Uhr UT: Sehr leichtes Objekt im 8x42 Feldstecher mit kreisrunder gut kondensierter Koma von 13' - 15' Ausdehnung (Mondlicht!) im Sternbild Löwe (1 Grad südlich von 42 Leo), DC 4, Helligkeit 6.7 mag

_________________
Gruß & cs
Andreas
Bild
---
Meade LXD55 10" f/4 | GSO Dobson 8" f/6 | TS Photoline 80 f/7 | Fujinon 10x70 FMT-SX | AstroTrac TT320X-AG | Canon EOS 1000Da / 6D


Nach oben
   
 Betreff des Beitrags: Re: Entdeckung - C/2018 Y1 (Iwamoto)
BeitragVerfasst: 14. Februar 2019, 07:12:25 AM 
Offline
Meister
Benutzeravatar

Registriert: 20. Januar 2013, 20:03:54 PM
Beiträge: 1980
Wohnort: Leipzig
Wahrscheinlich berechnet das MPC seine Magnituden aus den (gewöhnlichen) elektronischen Helligkeitsmessungen mit 10" Apertur.

_________________
Uwe Pilz, Fachgruppen Kometen und Astrophysik/Algorithmen.
Oft benutzte Instrumente: Fujinon 16x70 FMT-SX-2, TMB Apo 105/650, Skywatcher Evostar 120/900 ED, Ninja Dobson 320/1440, Smartscope Dwarf-3


Nach oben
   
 Betreff des Beitrags: Re: Entdeckung - C/2018 Y1 (Iwamoto)
BeitragVerfasst: 15. Februar 2019, 09:49:06 AM 
Offline
Meister
Benutzeravatar

Registriert: 20. Januar 2013, 20:03:54 PM
Beiträge: 1980
Wohnort: Leipzig
Heute morgen gab es das letzte einigermaßen vernünftige Beobachtungsfenster, bis der Mond den Abendhimmel wieder freigibt. Das ist am 21. Februar. Nach den jetzigen Prognosen ist der Komet dan wieder fern vom spitzen Helligkeitsmaximum und ca. 1 Größenklasse schwächer. Grund genug, heute morgen halb drei aufzustehen.

Ich nahm zwei Ferngläser mit zu meinem ländlichen Beobachtungsplatz. Der Komet war ein leichtes Ziel für das 7x50-Fernglas, ich bestimmte m1=6m7 und 12' Durchmesser. In meinem 16x70-Glas waren Einzelheiten zu erkennen: Wieder die Stoßfront und eine längliche Kondensation. Dieses Fernglas hat Breitband-Nebelfilter. DIese habe ich mir vor die Augen gehalten und konnte damit den Kometen gerade so als schwachen Fleck erkennen.


Dateianhänge:
1902150240C!2018~Y1~(Iwamoto)_16x70_16.jpg
1902150240C!2018~Y1~(Iwamoto)_16x70_16.jpg [ 27.36 KiB | 8206 mal betrachtet ]

_________________
Uwe Pilz, Fachgruppen Kometen und Astrophysik/Algorithmen.
Oft benutzte Instrumente: Fujinon 16x70 FMT-SX-2, TMB Apo 105/650, Skywatcher Evostar 120/900 ED, Ninja Dobson 320/1440, Smartscope Dwarf-3
Nach oben
   
 Betreff des Beitrags: Re: Entdeckung - C/2018 Y1 (Iwamoto)
BeitragVerfasst: 17. Februar 2019, 22:26:37 PM 
Offline
Meister

Registriert: 02. September 2017, 10:40:01 AM
Beiträge: 739
Hallo Eine Zusammenstellung der Aufnahmen vom 7., 12. und 16.2., die schön zeigt, wie sich die Lage des Schweif geändert hat
lg Michael Jäger


Dateianhänge:
2018Y1feb7,12,16_2.jpg
2018Y1feb7,12,16_2.jpg [ 854.47 KiB | 8069 mal betrachtet ]
Nach oben
   
 Betreff des Beitrags: Re: Entdeckung - C/2018 Y1 (Iwamoto)
BeitragVerfasst: 24. Februar 2019, 08:48:58 AM 
Offline
Meister
Benutzeravatar

Registriert: 20. Januar 2013, 20:03:54 PM
Beiträge: 1980
Wohnort: Leipzig
Gestern abend habe ich den Kometen zum ersten Mal mit einem "richtigen" Instrument beobachten, nicht nur mit Ferngläsern. Im 12-Zöller habe ich keine Helligkeitsschätzung vorgenommen, aber eine Zeichnung angefertigt. Es ist erstaunlich, was man alles an Details finden kann" V=48x, Nebelfilter.


Dateianhänge:
1902231950C!2081~Y1(Iwamoto)_Ninja_48.jpg
1902231950C!2081~Y1(Iwamoto)_Ninja_48.jpg [ 89.69 KiB | 7933 mal betrachtet ]

_________________
Uwe Pilz, Fachgruppen Kometen und Astrophysik/Algorithmen.
Oft benutzte Instrumente: Fujinon 16x70 FMT-SX-2, TMB Apo 105/650, Skywatcher Evostar 120/900 ED, Ninja Dobson 320/1440, Smartscope Dwarf-3
Nach oben
   
 Betreff des Beitrags: Re: Entdeckung - C/2018 Y1 (Iwamoto)
BeitragVerfasst: 01. April 2019, 21:59:57 PM 
Offline
Dauernutzer
Benutzeravatar

Registriert: 22. Oktober 2016, 08:15:59 AM
Beiträge: 136
Hallo,

ich habe gerade noch eine Animation von 2018Y1 hochgeladen. Ist zwar schon 4 Wochen her, aber bevor das Material in Vergessenheit gerät.


Bild


Gruß,
Stefan


Nach oben
   
Beiträge der letzten Zeit anzeigen:  Sortiere nach  
Ein neues Thema erstellen  Auf das Thema antworten  [ 21 Beiträge ] 

Alle Zeiten sind UTC+02:00


Wer ist online?

Mitglieder in diesem Forum: 0 Mitglieder und 3 Gäste


Du darfst keine neuen Themen in diesem Forum erstellen.
Du darfst keine Antworten zu Themen in diesem Forum erstellen.
Du darfst deine Beiträge in diesem Forum nicht ändern.
Du darfst deine Beiträge in diesem Forum nicht löschen.
Du darfst keine Dateianhänge in diesem Forum erstellen.

Suche nach:
Gehe zu:  
Powered by phpBB® Forum Software © phpBB Limited
Deutsche Übersetzung durch phpBB.de