Forum der Vereinigung der Sternfreunde

Forum of the German Amateur Astronomy Association
Aktuelle Zeit: 25. Januar 2026, 22:14:47 PM

Alle Zeiten sind UTC+02:00




Ein neues Thema erstellen  Auf das Thema antworten  [ 4 Beiträge ] 
Autor Nachricht
 Betreff des Beitrags: gamma Cas
BeitragVerfasst: 05. März 2009, 21:58:55 PM 
Ergebnisbericht:

Roland Bücke und ich (E.P.) sind der Meinung, dass es für den Einen oder Anderen von Interesse sein könnte, wenn wir den bisherigen Ergebnisstand aus Beobachtungen an unserem gemeinsamen Objekt gamma Cas hier vorstellen.
<?xml:namespace prefix = o ns = "urn:schemas-microsoft-com:office:office" />
Die Gemeinsamkeit liegt hier in der Überwachung der Äquivalentbreite der Hα-Emission, die Roland seit Ende August 2005, und ich (Ernst) seit 1994 verfolgen. Erfreulicherweise konnten in den zurückliegenden Jahren viele ergänzende Messungen professioneller Astronomen aber auch solche von Beobachtern aus der FG-Spektroskopie in das Monitoring aufgenommen werden (Abb. 1: Langzeitmonitoring).

Eine uns seit langem quälende Frage war und ist der oftmalige Unterschied in den EW-Werten zwischen unseren Messungen (Abb1. unten). Wir haben uns in der Vergangenheit bereits mehrfach dahingehend den Kopf zerbrochen, aber auf einen richtig zufriedenstellenden Nenner konnten wir bisher nicht kommen. In unseren Diskussionen warfen wir eher mehr Fragen auf als einer Lösung näher gekommen zu sein. Vielleicht führt eine umfassende Diskussion hier im Forum zur Lösung des Problems.

Darüber hinaus befasst sich Roland seit langem mit der Messung der Radialgeschwindigkeit der Hα-Emission die es inzwischen zu einem sehr befriedigenden Resultat als Langzeitmessung erbracht hat bei weitgehender Übereinstimmung mit Messungen unseres Freundes und Fachastronomen Anatoly Miroshnichenko.

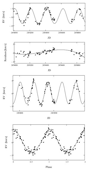
Die Beobachtungen erfassen inzwischen 4 komplette Perioden. In Abb. 2 sind von oben nach unten dargestellt:
- Die Messwerte mit einer angefitteten Bahnkurve (Keplerbahn), da man davon ausgehen kann, dass die Variabilität der Radialgeschwindigkeit von einem nicht direkt beobachtbaren Begleiter verursacht wird.
- Die verbleibenden Residuen zeigen eine der eigentlichen Periode überlagerte Veränderlichkeit, an die in diesem Fall ein Polynom 3. Grades angepasst wurde.
- nach Abzug dieser langsamen Veränderungen erhält man eine etwas verbesserte Anpassung der Bahnkurve an die Messwerte.
- ganz unten das dazugehörige Phasendiagramm.

Die Messungen ergeben momentan die in Tabelle 1 zusammengefassten und mit den Literaturwerten verglichenen Bahnparameter.

Tab.1: aktuelle Ergebnisse, [1] Harmanec, [2] Miroshnichenko

Vermutlich beruhen die langsamen, der Periode überlagerten RV-Änderungen auf Profiländerungen der Hα-Linie, die ich (Roland) mit meiner geringen Spektrographenauflösung nicht nachweisen kann. Hier wäre m.E. eine Korrelation mit Linienprofilen von Aufnahmen höherer Auflösung anderer Beobachter von großem Interesse.

Seit Mitte April 2003 verfolge ich (Ernst) neben dem Hα-Monitoring simultan das Emissions- und Profilverhalten der Helium-Emissionen bei 6678 Angstr., wobei im September 2008 ein seltener Ausbruch während 2-3 Tagen beobachtet werden konnte (Abb.3). Ein Ereignis, dass nach Einschätzung unseres langjährig beratenden γ Cas-Fachmannes M. Smith erwartet werden konnte (siehe auch http://www.astro.virginia.edu/~dam3ma/b ... mann1.html)

Abb.3: Spektren der Heliumemission bei 6678 Angstr. im Sept. 2008

Wir würden uns freuen, wenn es uns mit dieser Ergebnisvorstellung gelänge, eine Diskussion über die verschiedensten Aspekte der Beobachtung in Gang zu setzen und sich künftig weitere Mitglieder der FG bei der aktiven Beobachtung des interessanten Be-Sterns gamma Cas beteiligen.

Roland Bücke, Ernst Pollmann


Dateianhänge:
Tabelle_1.jpg
Tabelle_1.jpg [ 24.73 KiB | 10228 mal betrachtet ]
Bild_3.jpg
Bild_3.jpg [ 92.25 KiB | 10228 mal betrachtet ]
Bild_2.jpg
Bild_2.jpg [ 26.33 KiB | 10228 mal betrachtet ]
Bild_1.jpg
Bild_1.jpg [ 76.72 KiB | 10228 mal betrachtet ]
Nach oben
   
 Betreff des Beitrags: gamma Cas
BeitragVerfasst: 06. März 2009, 11:11:06 AM 
Offline
Meister
Benutzeravatar

Registriert: 17. Dezember 2006, 15:08:21 PM
Beiträge: 904
Wohnort: Neckarsteinach
Hallo Ernst, hallo Roland,

Das sind sehr interessante Ergebnisse, vor allem die
Radialgeschwindigkeitsmessungen sind sehr eindrucksvoll,

Ernst Pollmann wrote:
Zitat:
Eine uns seit langem quälende Frage war und ist der oftmalige
Unterschied in den EW-Werten zwischen unseren Messungen (Abb1. unten).
Wir haben uns in der Vergangenheit bereits mehrfach dahingehend den Kopf
zerbrochen, aber auf einen richtig zufriedenstellenden Nenner konnten
wir bisher nicht kommen. In unseren Diskussionen warfen wir eher mehr
Fragen auf als einer Lösung näher gekommen zu sein. Vielleicht führt
eine umfassende Diskussion hier im Forum zur Lösung des Problems.
Meiner Meinung nach ist die einzige plausible Ursache der Diskrepanz die
Lage des Kontinuums. Oder was könnte es sonst sein?

Roland hat den Vorteil, dass seine Spektren einen sehr glatten
Kontinuumsverlauf haben. Außerdem ist der Wellenlängenbereich bei seinen
Spektren so groß, dass er das Kontinuum im Messbereich gut
interpolieren kann. Daher ist die Streuung seiner Messungen auch so gering.

Dagegen scheint das Kontinuum auf den Spektren von Ernst doch stark
gekrümmt zu sein, was in Verbindung mit dem kleinen Spektralbereich die
Messgenauigkeit beschränkt. Die hohe Dispersion in Verbindung mit einem
eher kleinen CCD ist also hier ein Nachteil.

Kann man mal zwei möglichst ännähernd simultane (unnormierte!) Spektren
sehen (möglichst im FITS-Format, damit man sie auch bearbeiten kann),
bei denen die Äquivalentbreiten stark auseinander liegen?

Herzliche Grüße,
Otmar


Nach oben
   
 Betreff des Beitrags: Re: gamma Cas
BeitragVerfasst: 06. März 2009, 12:21:44 PM 
Offline
Meister
Benutzeravatar

Registriert: 01. August 2006, 16:08:56 PM
Beiträge: 3866
Wohnort: 68163 Mannheim
Zitat:
Vermutlich beruhen die langsamen, der Periode überlagerten RV-Änderungen auf Profiländerungen der Hα-Linie, die ich (Roland) mit meiner geringen Spektrographenauflösung nicht nachweisen kann. Hier wäre m.E. eine Korrelation mit Linienprofilen von Aufnahmen höherer Auflösung anderer Beobachter von großem Interesse.
Hallo ihr beiden,

das ist eine sehr gute Idee, hier mal einen "Zwischenbericht" zu gam Cas einzustellen.

Roland, deine RV-Messungen sind sehr präzise. Meine Hochachtung!

Die Ha-Linie hat ein teilweise variables Flaschenhals-artiges Profil, das in deinen Aufnahmen infolge der gegebenen Auflösung integriert wird. Deshalb zeigen deine Ha-Linien einen scharfen Peak, den du sauber in der Wellenlänge ausmessen kannst.

Ein Beispiel für ein höher aufgelöstes Profil siehe
http://spektroskopie.fg-vds.de/forum/vi ... c&start=50
mein Beitrag vom 16/11/2007

Es ist für mich jetzt schwierig, bei höherer Auflösung aus einem solchen Profil eine RV abzuleiten, bezüglich welchem Punkt? Wenn es kein zeitlich stabiler, immer wieder zur Auswertung zur Verfügung stehender Punkt im Profil gibt.
Bei den anderen Balmerlinien, HeI Linien und auch FeII ist es ähnlich.
Siehe auch mein Beitrag vom 7/11/2007, gleicher Thread wie oben.

Ich muss mir das Spektrum von gam Cas mal genauer anschauen, ob es da auch ungestörte Absorptionslinien gibt, die für RV-Messungen herangezogen werden können.

Auf jeden Fall werde ich meine gam Cas Spektren nochmal durchstöbern. Evtl. fällt auch noch die eine oder andere EW ab, obwohl die zeitliche Abdeckung mit EW-Messungen ausreichend dicht ist.

Viele Grüße
Lothar

_________________
Herzliche Grüße / best regards

Lothar

https://lotharschanne.wordpress.com/


Nach oben
   
 Betreff des Beitrags:
BeitragVerfasst: 06. März 2009, 14:23:46 PM 
Offline
Meister
Benutzeravatar

Registriert: 02. August 2006, 13:01:07 PM
Beiträge: 503
Wohnort: Hamburg
Hallo,

ich denke auch, dass der Vorschlag von Otmar
Zitat:
Kann man mal zwei möglichst ännähernd simultane (unnormierte!) Spektren
sehen (möglichst im FITS-Format, damit man sie auch bearbeiten kann),
bei denen die Äquivalentbreiten stark auseinander liegen?
einmal unnormierte Spektren direkt zu vergleichen, evtl. zu mehr Klarheit führen könnte. Zumindest ist es einen Versuch wert. Meine Spektren liegen unnormiert in der Datenbank vor, so dass an diesen jeder der Lust dazu hat, vergleichend seine eigene Normierungsmethode anwenden kann. Die zugehörigen EW-Werte liegen auf meiner Webseite unter Beobachtungen. Die noch fehlenden Spektren der letzten Monate werde ich dir, Otmar, in den nächsten Tagen zuschicken.
Zu meinen EW-Messwerten möchte ich noch anmerken:
Ich arbeite bei der Normierung mit streng festgelegten Stützstellen (jeweils aus mehr oder weniger vielen Pixeln bestehend, damit sich das Rauschen nicht so stark auswirken kann), bei denen ich von einigermaßen ungestörten Kontinuumsabschnitten ausgehe, und lege dann einen Polynom immer der gleichen Ordnung hindurch. Dies wirkt sich sicherlich, wie schon Otmar bewertete, aufgrund des relativ großen und glatten Spektralbereichs auf die Reproduzierbarkeit (Wiederholgenauigkeit) der Normierung positiv aus. So ist vielleicht auch zu erklären, dass die Spektren eines Beobachtungsabends (ich werte immer mehrere unabhängige Spektren aus) zu EW-Werten einer sehr geringen Streuung von typischerweise 0.07 - 0.09 Angström führen, was sich dann auch in der geringen Streuung der gesamten Messreihe wiederfindet.
Die absolute Genauigkeit der EW-Werte ist eine ganz andere Sache. Da geht die individuelle Bewertung bei der Festlegung der Stützstellen stark ein, wodurch auch bei mir mit einem systematischen Fehler gerechnet werden muss, der sich dann in einer systematischen Verschiebung der Messpunkte im Vergleich zu anderen Beobachtern äußert.

Gruß
Roland


Nach oben
   
Beiträge der letzten Zeit anzeigen:  Sortiere nach  
Ein neues Thema erstellen  Auf das Thema antworten  [ 4 Beiträge ] 

Alle Zeiten sind UTC+02:00


Wer ist online?

Mitglieder in diesem Forum: 0 Mitglieder und 0 Gäste


Du darfst keine neuen Themen in diesem Forum erstellen.
Du darfst keine Antworten zu Themen in diesem Forum erstellen.
Du darfst deine Beiträge in diesem Forum nicht ändern.
Du darfst deine Beiträge in diesem Forum nicht löschen.
Du darfst keine Dateianhänge in diesem Forum erstellen.

Suche nach:
Gehe zu:  
Powered by phpBB® Forum Software © phpBB Limited
Deutsche Übersetzung durch phpBB.de