Forum der Vereinigung der Sternfreunde

Forum of the German Amateur Astronomy Association
Aktuelle Zeit: 23. Januar 2026, 19:10:07 PM

Alle Zeiten sind UTC+02:00




Ein neues Thema erstellen  Auf das Thema antworten  [ 25 Beiträge ] 
Autor Nachricht
 Betreff des Beitrags: gamma Cas
BeitragVerfasst: 06. März 2009, 15:27:29 PM 
Offline
Meister
Benutzeravatar

Registriert: 17. Dezember 2006, 15:08:21 PM
Beiträge: 904
Wohnort: Neckarsteinach
Hallo Roland,

Roland Bücke wrote:
Zitat:
Hallo,

Otmar schrieb: *Zitat:* Wenn sich das Profil ändert, dann ist es
nicht klar, dass die gemessenen Radialgeschwindigkeitensänderungen
als Bewegung des Massenschwerpunkts zu interpretieren sind.


Mein Gedanke dazu war: Wenn die Profiländerungen in einer anderen
Zeitskala auftreten als die periodische Änderung von etwa 204 Tagen,
dass sie sich dann in den Residuen der Anpassung der 204
Tage-Periode bemerkbar machen.
Das ist richtig, aber genau diese Profiländerungen mit der Bahnperiode
meinte ich :-) Die sind natürlich am gefährlichsten, da sie kaum von
einer Verschiebung zu unterscheiden sind. Die Verschiebungen sind ja
sehr klein gegenüber der Breite der Linie. Eine mögliche Ursache für so
einen Effekt wäre eine Aufhellung der Scheibe auf der dem Begleiter
zugewandten Seite. Damit bekommst Du immer noch eine schöne RV-Kurve,
aber eventuell mit einer falschen Amplitude.

Ich weiß nicht, ob das alles bei gamma Cas relevant ist. Meine Bemerkung
betraf ganz allgemein die Problematik von Emissionslinienmessungen. Bei
diesen Linien muss man sich genauer Gedanken machen, wo sie eigentlich
entstehen. Bei Absorptionslinien ist das meistens viel klarer.
Zitat:
Nach meinen Beobachtungen müssten dann die Profiländerungen
wesentlich langsamer ablaufen als die Periodizität durch den
unsichtbaren Begleiter. Die H-alpha Linie zeigt doch gerade im
Flaschenhals eine veränderliche Form (teilweise zwei Peaks). Nun wäre
es doch interessant, ob diese Profilform in irgendeiner Weise mit
meinem Residuenverlauf korreliert. Zum Beispiel würde ein
"rotschiefes Linienprofil" meine Gaußanpassung gegenüber
"blauschiefen" Profil ebenso nach rot verlagern.
Ja, das wäre interessant. Dazu müsste man Daten höherer Auflösung
heranziehen. Die sollte es eigentlich geben.
Zitat:
Gruß Roland
Herzliche Grüße,
Otmar


Nach oben
   
 Betreff des Beitrags: gamma Cas
BeitragVerfasst: 06. März 2009, 15:37:45 PM 
Offline
Meister
Benutzeravatar

Registriert: 17. Dezember 2006, 15:08:21 PM
Beiträge: 904
Wohnort: Neckarsteinach
Hallo Roland,

Roland Bücke wrote:
Zitat:
Zu meinen EW-Messwerten möchte ich noch anmerken: Ich arbeite bei der
Normierung mit streng festgelegten Stützstellen (jeweils aus mehr
oder weniger vielen Pixeln bestehend, damit sich das Rauschen nicht
so stark auswirken kann), bei denen ich von einigermaßen ungestörten
Kontinuumsabschnitten ausgehe, und lege dann einen Polynom immer der
gleichen Ordnung hindurch. Dies wirkt sich sicherlich, wie schon
Otmar bewertete, aufgrund des relativ großen und glatten
Spektralbereichs auf die Reproduzierbarkeit (Wiederholgenauigkeit)
der Normierung positiv aus.
Dieses systematische Vorgehen kann ich nur weiterempfehlen. Das führt zu
wesentlich besserer Reprodzierbarkeit als eine Normierung von Hand und
ist sicher ein weitere Grund für die hohe Qualität Deiner Messungen.
Zitat:
Die absolute Genauigkeit der EW-Werte ist eine ganz andere Sache. Da
geht die individuelle Bewertung bei der Festlegung der Stützstellen
stark ein, wodurch auch bei mir mit einem systematischen Fehler
gerechnet werden muss, der sich dann in einer systematischen
Verschiebung der Messpunkte im Vergleich zu anderen Beobachtern
äußert.
Der systematische Fehler ist, wie immer, schwieriger zu eliminieren.
Aber der systematische Fehler scheint mir hier zunächst nicht das
Hauptproblem zu sein.
Zitat:
Gruß Roland
Herzliche Grüße,
Otmar


Nach oben
   
 Betreff des Beitrags:
BeitragVerfasst: 06. März 2009, 16:54:28 PM 
Offline
Meister
Benutzeravatar

Registriert: 02. August 2006, 13:01:07 PM
Beiträge: 503
Wohnort: Hamburg
Hallo Otmar,
Zitat:
Eine mögliche Ursache für so
einen Effekt wäre eine Aufhellung der Scheibe auf der dem Begleiter
zugewandten Seite.
Müsste sich eine solche lokale Aufhellung in der Scheibe, die an einen Begleiter gebunden rotiert, auch zu einer EW-Änderung gleicher Periode führen? Zumindest wenn man auf die Kante der Scheibe blicken würde, was ja bei gamma Cas wohl nicht der Fall ist?

Gruß
Roland


Nach oben
   
 Betreff des Beitrags: gamma Cas
BeitragVerfasst: 06. März 2009, 17:22:37 PM 
Offline
Meister
Benutzeravatar

Registriert: 17. Dezember 2006, 15:08:21 PM
Beiträge: 904
Wohnort: Neckarsteinach
Hallo Roland,

Roland Bücke wrote:
Zitat:
Hallo Otmar,

*Zitat:*
Eine mögliche Ursache für so
einen Effekt wäre eine Aufhellung der Scheibe auf der dem Begleiter
zugewandten Seite.


Müsste sich eine solche lokale Aufhellung in der Scheibe, die an einen
Begleiter gebunden rotiert, auch zu einer EW-Änderung gleicher Periode
führen? Zumindest wenn man auf die Kante der Scheibe blicken würde, was
ja bei gamma Cas wohl nicht der Fall ist?
Wenn man auf die Kante sieht wäre eine Änderung der EW zu erwarten, wenn
die Scheibe optisch dick ist, was bei Be-Sternen in Halpha normalerweise
der Fall ist. Im optischen dünnen Fall ändert sich die EW nicht. Es ist
aber sicher interessant zu prüfen, ob die Bahnperiode in den
EW-Variationen nachweisbar ist.

Aber, wie gesagt, das mit der Aufhellung war nur ein Beispiel, was
passieren kann. Keine Ahnung, ob das bei gamma Cas plausibel ist.
Denkbar wäre z.B. auch eine Störung der Kepler-Rotation der Scheibe
durch den Begleiter, Gasströmungen zum Begleiter usw. Solche Effekte
könnten den Schwerpunkt der Linie mit der Bahnperiode verschieben und
damit die RV-Kurve verfälschen. Die meisten Effekte ändern das
Linienprofil, könnten also durch eine Untersuchung des Linienprofils als
Funktion der Phase untersucht werden.
Zitat:
Gruß
Roland
Herzliche Grüße,
Otmar


Nach oben
   
 Betreff des Beitrags:
BeitragVerfasst: 06. März 2009, 18:33:12 PM 
Offline
Meister
Benutzeravatar

Registriert: 01. August 2006, 16:08:56 PM
Beiträge: 3866
Wohnort: 68163 Mannheim
Hallo Roland,

Ernst hat doch eine Menge von gut aufgelösten Spektren der Ha-Linie. Das könntet ihr beide doch mal genauer untersuchen? Die Ha-Linie lässt sich bei Ernst's Spektren mit den Wasserlinien sicher gut in der Wellenlänge kalibrieren.

Lieber Gruß
Lothar

_________________
Herzliche Grüße / best regards

Lothar

https://lotharschanne.wordpress.com/


Nach oben
   
 Betreff des Beitrags: gamma Cas
BeitragVerfasst: 06. März 2009, 18:57:37 PM 
"Otmar Stahl" <o.stahl@lsw.uni-heidelberg.de> schrieb:

Auch wenn das Profil konstant ist, ist noch
nicht gesagt, dass die Emission dem Massenschwerpunkt folgt. Das ist ein
grundsätzliches Problem bei Emissionslinienmessungen.


... hallo Otmar,
das Maximum der Halpha-Emission repräsentiert ja die äusseren und somit massereichsten Regionen der Scheibe, die Flügel hingegen die inneren, massenärmeren, zentralsternnahen Regionen.

Würde die Scheibe (allein) dem Massenschwerpunkt des Systems folgen (und hier besonders ihre äusseren Regionen), spräche dies für eine "gewisse autarke" Viskosität, die dies erst ermöglicht.
Wäre dies das "grundsätzliche Problem bei Emissionslinienmessungen", oder habe ich dich da falsch verstanden?

Wenn hingegen die Scheibe plus Zentralstern dieser Bewegung folgt, hieße das, dass das Emissionsmaximum dann doch RV-Veränderungen zeigen sollte, die auf den Begleiter zurückzuführen sind.

Oder liege ich völlig falsch?

Ernst


Nach oben
   
 Betreff des Beitrags: gamma Cas
BeitragVerfasst: 06. März 2009, 18:59:30 PM 
"Lothar Schanne" <l.schanne@arcor.de> schrieb:

Ernst hat doch eine Menge von gut aufgelösten Spektren der Ha-Linie. Das könntet ihr beide doch mal genauer untersuchen? Die Ha-Linie lässt sich bei Ernst's Spektren mit den Wasserlinien sicher gut in der Wellenlänge kalibrieren.

...ist unterwegs...
Ernst


Nach oben
   
 Betreff des Beitrags: gamma Cas
BeitragVerfasst: 06. März 2009, 21:06:38 PM 
Offline
Meister
Benutzeravatar

Registriert: 04. November 2006, 23:51:38 PM
Beiträge: 399
Wohnort: Dresden
Hallo Ernst, Roland und Otmar,

ich hätte da eine "Lösung" bzw. Diskussionsanstz anzubieten:
1. Ernst arbeitet mit einem Mikrolinsenchip (Annahme KAF402ME)
2. Roland mit einem Zeilendetektor (Annahme ohne Mikrolinsen)
3. Aus meinen Messungen weiß ich, das (zumindest bei mir) nahe Ha ein Maximum der Empfindlichkeit bei KAF402ME liegt (oszillierender Untergrund). Wenn also keine Flatkorrektur (Flat an einer Kontinuumsquelle genommen) gemacht ist, wird die EW bei Ernst tendenziell größer als bei Roland sein. Ist sie aber nicht!
Hmm. Das könnte natürlich darauf hindeuten, dass bei Ernst gerade ein Minimum in der QE vorliegt (Produktionsunterschiede der Chips).
4. Vorschlag an Euch beide: Bitte macht mal ein Flat an einer Halogenlampe. Dann sieht man, ob sowas auszuschließen ist.

Gruß
Thomas
Zitat:
Hallo Ernst, hallo Roland,

Das sind sehr interessante Ergebnisse, vor allem die
Radialgeschwindigkeitsmessungen sind sehr eindrucksvoll,

Ernst Pollmann wrote:

: Eine uns seit langem quälende Frage war und ist der oftmalige
Unterschied in den EW-Werten zwischen unseren Messungen (Abb1. unten).
Wir haben uns in der Vergangenheit bereits mehrfach dahingehend den Kopf
zerbrochen, aber auf einen richtig zufriedenstellenden Nenner konnten
wir bisher nicht kommen. In unseren Diskussionen warfen wir eher mehr
Fragen auf als einer Lösung näher gekommen zu sein. Vielleicht führt
eine umfassende Diskussion hier im Forum zur Lösung des Problems.

Meiner Meinung nach ist die einzige plausible Ursache der Diskrepanz die
Lage des Kontinuums. Oder was könnte es sonst sein?

Roland hat den Vorteil, dass seine Spektren einen sehr glatten
Kontinuumsverlauf haben. Außerdem ist der Wellenlängenbereich bei seinen
Spektren so groß, dass er das Kontinuum im Messbereich gut
interpolieren kann. Daher ist die Streuung seiner Messungen auch so gering.

Dagegen scheint das Kontinuum auf den Spektren von Ernst doch stark
gekrümmt zu sein, was in Verbindung mit dem kleinen Spektralbereich die
Messgenauigkeit beschränkt. Die hohe Dispersion in Verbindung mit einem
eher kleinen CCD ist also hier ein Nachteil.

Kann man mal zwei möglichst ännähernd simultane (unnormierte!) Spektren
sehen (möglichst im FITS-Format, damit man sie auch bearbeiten kann),
bei denen die Äquivalentbreiten stark auseinander liegen?

Herzliche Grüße,
Otmar




--
++++++++++++++++++++++++++++++++
!!! ACHTUNG: Neue Koordinaten!!!
++++++++++++++++++++++++++++++++
Dr. Thomas Hunger
Neu: Normannenweg 39
Neu: 59519 Möhnesee-Körbecke
Neu: 02924-324955
0176-25482829


Nach oben
   
 Betreff des Beitrags: gamma Cas
BeitragVerfasst: 06. März 2009, 21:47:14 PM 
"Thomas Hunger" schrieb:

wird die EW bei Ernst tendenziell größer als bei Roland

... nett der Ansatz Thomas, ist lieb gemeint [:-)], doch interessanterweise differieren unsere EW´s nur bei gamma Cas (manchmal!!!!! auch nicht immer) in der Weise. Bei zeta Tau etwa "treffen wir bis auf ganz wenige Zehntel aufeinander".
Ernst


Nach oben
   
 Betreff des Beitrags: gamma Cas
BeitragVerfasst: 07. März 2009, 10:37:11 AM 
Offline
Meister
Benutzeravatar

Registriert: 17. Dezember 2006, 15:08:21 PM
Beiträge: 904
Wohnort: Neckarsteinach
Hallo Ernst,

Ernst Pollmann schrieb:
Zitat:
"Otmar Stahl" )lsw.uni-heidelberg.de> schrieb:

Auch wenn das Profil konstant ist, ist noch
nicht gesagt, dass die Emission dem Massenschwerpunkt folgt. Das ist ein
grundsätzliches Problem bei Emissionslinienmessungen.


... hallo Otmar,
das Maximum der Halpha-Emission repräsentiert ja die äusseren und somit
massereichsten Regionen der Scheibe, die Flügel hingegen die inneren,
massenärmeren, zentralsternnahen Regionen.

Würde die Scheibe (allein) dem Massenschwerpunkt des Systems folgen (und
hier besonders ihre äusseren Regionen), spräche dies für eine "gewisse
autarke" Viskosität, die dies erst ermöglicht.
Wäre dies das "grundsätzliche Problem bei Emissionslinienmessungen",
oder habe ich dich da falsch verstanden?
Wenn ich Dich richtig verstehe, hast Du mich schon richtig verstanden
:-) Die äußeren Regionen der Scheibe sind sicher eher betroffen, als due
inneren. Es hilft oft, sich Extremfälle vorzustellen: Hier wäre ein
extremer Fall gegeben, wenn die Scheibe das Gesamtsystem umgibt. Dann
sagen Radialgeschwindigkeitsvariationen nur noch wenig über die
Bahnbewegung aus.
Zitat:
Wenn hingegen die Scheibe plus Zentralstern dieser Bewegung folgt, hieße
das, dass das Emissionsmaximum dann doch RV-Veränderungen zeigen sollte,
die auf den Begleiter zurückzuführen sind.

Oder liege ich völlig falsch?
Nein, das sicher nicht. Wie stark der Einfluss des Begleiters auf die
Scheibe ist, hängt aber natürlich davon ab, ob es sich um ein eher enges
oder ein weites System handelt. Auch die Masse und Temperatur des
Begleiters spielen eine Rolle.
Zitat:
Ernst
Herzliche Grüße,
Otmar


Nach oben
   
 Betreff des Beitrags: gamma Cas
BeitragVerfasst: 07. März 2009, 10:49:38 AM 
Offline
Meister
Benutzeravatar

Registriert: 17. Dezember 2006, 15:08:21 PM
Beiträge: 904
Wohnort: Neckarsteinach
Hallo Ernst,

Ernst Pollmann schrieb:
Zitat:
"Thomas Hunger" )web.de> schrieb:

wird die EW bei Ernst tendenziell größer als bei Roland

... nett der Ansatz Thomas, ist lieb gemeint [:-)], doch
interessanterweise differieren unsere EW´s nur bei gamma Cas
(manchmal!!!!! auch nicht immer) in der Weise.
Bei zeta Tau etwa "treffen wir bis auf ganz wenige Zehntel
aufeinander". Ernst
Das alleine sagt noch nicht viel aus. Das kann z.B. auch daran liegen,
das gamma Cas breitere Linienflügel hat und damit schwieriger zu
normieren ist. Ein Flatfield wäre trotzdem interessant. Da Du allerdings
spaltlos arbeitest (das ist dodhc so?), ist das nicht so einfach. Aber
vielleicht kann man den Chip anderweitig messen? Ich denke, die
Diskussion führt nicht weiter, bevor wir die Spektren, bei denen es
Diskrepanzen gibt, sehen.

Herzliche Grüße,
Otmar


Nach oben
   
 Betreff des Beitrags:
BeitragVerfasst: 08. März 2009, 13:16:01 PM 
Offline
Meister
Benutzeravatar

Registriert: 02. August 2006, 13:01:07 PM
Beiträge: 503
Wohnort: Hamburg
Thomas schrieb:
Zitat:
4. Vorschlag an Euch beide: Bitte macht mal ein Flat an einer Halogenlampe. Dann sieht man, ob sowas auszuschließen ist
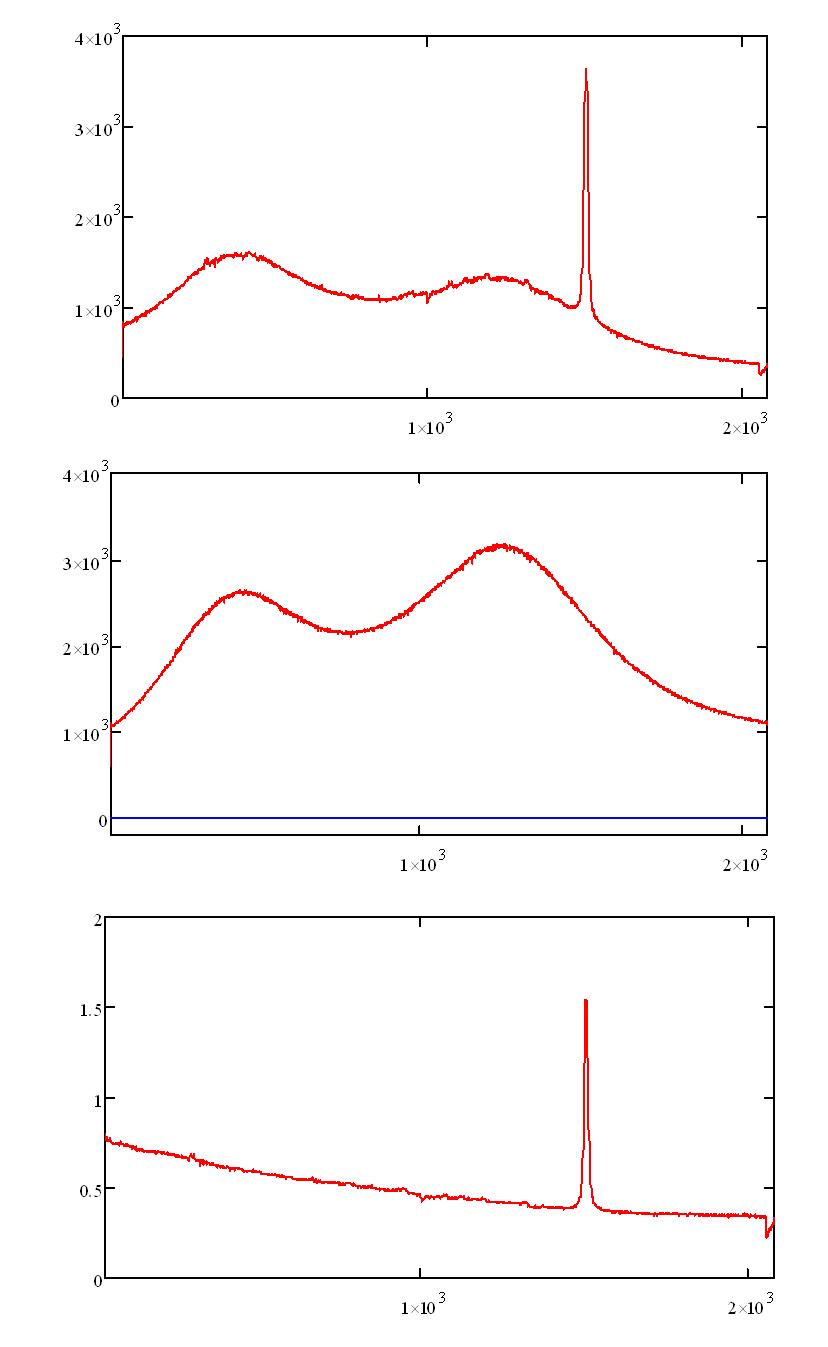
Da ich meine Spektren generell mit einer Flataufnahme korrigieren muss, hier ein Beispiel von gamma Cas.
Vorab: Mit meinem Linearsensor kann ich nur durch eine Flatkorrektur zu brauchbaren Ergebnissen kommen. Dies liegt daran, dass sich bei einer einzigen Pixelreihe die Empfindlichkeitsunterschiede der Pixel direkt auf das Spektrum übertragen. Wenn man in der vertikalen Richtung mehrere Pixelreihen aufaddieren kann, wie dies ja bei jedem Flächensensor der Fall ist, werden diese Empfindlichkeitsunterschiede der Pixel statistisch verringert. Dies sieht man an der Flataufnahme in der Mitte. Das Rauschen der roten Kurve ist kein Photonenrauschen, sondern nahezu reines Rauschen durch die Pixelunterschiede. Bei der blauen Kurve darunter habe ich die Flataufnahme durch eine zweite dividiert, so dass dann das eigentliche Rauschen zurück bleibt, was hier nicht mehr erkennbar ist.

Die obere Aufnahme ist eine Rohaufnahme. Meine Spektren haben also eine recht starke Welligkeit, die durch die Apparatefunktion insgesamt entsteht.
In der Mitte wie schon gesagt eine Flataufnahme.
Unten dann das flatkorrigierte Spektrum.

Es ist sicher unbestreitbar, dass sich ein so geglättetes Spektrum wesentlich sicherer Normieren lässt und das die Kenntnis der Apparatefunktion in Form eines Flats wichtige Hinweise über den Kontinuumsverlauf gerade in Bereichen sehr breiter Linien liefert.

Allerdings habe ich es mit meinem Lichtleiter vergleichsweise einfach, qualitativ hochwertige Flats aufzunehmen, da ich einfach im gleichen Öffnungsverhältnis wie das Teleskop mit einer Halogenlampe in die Faser hineinleuchte. Bei der hohen Lichtintensität benötige ich nur Belichtungszeiten von 0,1s, so dass ich 200 oder sogar 300 Aufnahmen aufaddiere. Dadurch haben die Flats nur noch ein vernachlässigbares Rauschen.

Gruß
Roland


Dateianhänge:
gamma Cas.jpg
gamma Cas.jpg [ 59 KiB | 25382 mal betrachtet ]
Nach oben
   
 Betreff des Beitrags:
BeitragVerfasst: 08. März 2009, 14:12:11 PM 
Offline
Meister
Benutzeravatar

Registriert: 02. August 2006, 13:01:07 PM
Beiträge: 503
Wohnort: Hamburg
Otmar schrieb:
Zitat:
Es ist
aber sicher interessant zu prüfen, ob die Bahnperiode in den
EW-Variationen nachweisbar ist.
Bei der Periode von 204 Tagen korreliert die EW am wenigsten. Das Maximum bei etwa 380 Tagen beruht wohl eher auf den jährlichen Rhythmus der Beobachtungstätigkeit (keine Messwerte im Sommer).
Vor der Periodenanalyse habe ich den Anstieg der EW durch eine lineare Approximation entfernt.

Gruß
Roland


Dateianhänge:
EW-Periodenanalyse.jpg
EW-Periodenanalyse.jpg [ 33.77 KiB | 25374 mal betrachtet ]
Nach oben
   
 Betreff des Beitrags:
BeitragVerfasst: 08. März 2009, 14:14:24 PM 
Offline
Meister
Benutzeravatar

Registriert: 01. August 2006, 16:08:56 PM
Beiträge: 3866
Wohnort: 68163 Mannheim
Hallo,

zur Variabilität der H alpha Linie von gam Cas hier drei Spektren (R =ca. 14000) übereinander geplottet, Zeitraum Oktober 2007 bis Februar 2008.

Weil die Linie ziemlich symmetrisch ist, ergibt ein Gaußfit trotz der Variationen im Peak ein Kurvenmaximum, das ziemlich unabhängig ist vom Fittingbereich, solange man unten die Flügel etwas einbezieht.

Für das Spektrum vom 18.2.08 finde ich eine RV von -15,7 km/s (Fehlerbereich kann bis +- 5 km/s betragen).

Grüße
Lothar


Dateianhänge:
gamCas_overplots.gif
gamCas_overplots.gif [ 20.04 KiB | 25373 mal betrachtet ]

_________________
Herzliche Grüße / best regards

Lothar

https://lotharschanne.wordpress.com/
Nach oben
   
 Betreff des Beitrags:
BeitragVerfasst: 08. März 2009, 15:09:31 PM 
Offline
Meister
Benutzeravatar

Registriert: 02. August 2006, 13:01:07 PM
Beiträge: 503
Wohnort: Hamburg
Hallo Lothar,

ob sich das V/R der Peaks evtl. mit der Phase der RV-Periode ändert, wäre sicher interessant. Mit Hilfe der vielen Aufnahmen von Ernst müsste sich dies untersuchen lassen.

Gruß
Roland


Dateianhänge:
gamma Cas 2.jpg
gamma Cas 2.jpg [ 18.73 KiB | 25367 mal betrachtet ]
Nach oben
   
 Betreff des Beitrags:
BeitragVerfasst: 08. März 2009, 17:20:47 PM 
Offline
Meister
Benutzeravatar

Registriert: 01. August 2006, 16:08:56 PM
Beiträge: 3866
Wohnort: 68163 Mannheim
Hallo Roland,

aus meinen Spektren ergeben sich die folgenden RV (die Güte der Ne-Kalibrierung habe ich jetzt nicht nochmal kontrolliert an den Wasserlinien, für ernsthafte Ergebnisse wäre das noch zu tun):
20071012... JD 2454286.3... RV +5,3 km/s
20071115... 2454420.1... -5.72
20080218... 2454515.3... -15.7

Wie passen die in deine Kurven?

Gruß
Lothar

_________________
Herzliche Grüße / best regards

Lothar

https://lotharschanne.wordpress.com/


Nach oben
   
 Betreff des Beitrags:
BeitragVerfasst: 08. März 2009, 17:59:47 PM 
Offline
Meister
Benutzeravatar

Registriert: 02. August 2006, 13:01:07 PM
Beiträge: 503
Wohnort: Hamburg
Hallo Lothar,

leider ist die Übereinstimmung noch nicht ausreichend, zumindest der erste Wert weicht stark ab:

20071012... JD 2454386.3... RV +5,3 km/s -5,5 km/s
20071115... 2454420.1... -5.72 -4,4 km/s
20080218... 2454515.3... -15.7 -12 km/s

Gruß
Roland


Nach oben
   
 Betreff des Beitrags:
BeitragVerfasst: 09. März 2009, 23:51:34 PM 
Offline
Meister
Benutzeravatar

Registriert: 01. August 2006, 16:08:56 PM
Beiträge: 3866
Wohnort: 68163 Mannheim
Hallo,

gestern Abend gaben die Wolken hier kurz den Himmel frei, gerade ausreichend um 40 min gam Cas zu spektroskopieren.
Technik: C14. Lhires, 1800g/mm Gitter >>> 0,20 Angstr./Pix, R = 7000.
8x300s Belichtung, flats, darks, Neon (intern und extern).

Das Rohspektrum hat durch die Flatkorrektur einen fast geraden Verlauf des Kontinuums, so dass die EW-Bestimmung recht genau werden kann.

Die wichtigsten Daten des normierten Spektrums sind im Diagramm enthalten (..._norm.gif).

Das Profil der Halpha-Linie, wie es eben bei R = 7000 aussieht (...Ausschnitt.png).

Die Kalibrierung mit der internen Neonlampe liegt 1 Angström daneben (5 Pix.), die mit der externen sogar 2 Angström (10 Pix). Den Grund dafür habe ich noch nicht gefunden.

Viele Grüße
Lothar


Dateianhänge:
Dateikommentar: Rohspektrum kalibriert
gamCas_20090308_Roh.png
gamCas_20090308_Roh.png [ 54.89 KiB | 25336 mal betrachtet ]
Dateikommentar: normiertes kalibriertes Spektrum
gamCas_20090308_norm.gif
gamCas_20090308_norm.gif [ 15.65 KiB | 25336 mal betrachtet ]
Dateikommentar: H alpha Profil
gamCas20090308_HalphaAusschnitt.png
gamCas20090308_HalphaAusschnitt.png [ 32.89 KiB | 25336 mal betrachtet ]

_________________
Herzliche Grüße / best regards

Lothar

https://lotharschanne.wordpress.com/
Nach oben
   
 Betreff des Beitrags:
BeitragVerfasst: 10. März 2009, 00:06:50 AM 
Offline
Meister
Benutzeravatar

Registriert: 01. August 2006, 16:08:56 PM
Beiträge: 3866
Wohnort: 68163 Mannheim
zu obigem Spektrum der Ha-Linie vom 8.3.09 noch einige Ergänzungen:

Das verwendete Neonspektrum zur Kalibrierung mit den identifizierten Wellenlängen (blaue Schrift)

Die Kalibrierfunktion (nicht-linearer Anteil)

Die Residuen der Neonlinien (Differenz Wellenlänge im Kalibrierspektrum und Laborwellenlänge)

Die FWHM der Neonlinien ausgedrückt als Auflösung R.


Dateianhänge:
resol.png
resol.png [ 40.21 KiB | 25335 mal betrachtet ]
residuum.png
residuum.png [ 40.61 KiB | 25335 mal betrachtet ]
delta.gif
delta.gif [ 8.01 KiB | 25335 mal betrachtet ]
calibrate.gif
calibrate.gif [ 10.58 KiB | 25335 mal betrachtet ]

_________________
Herzliche Grüße / best regards

Lothar

https://lotharschanne.wordpress.com/
Nach oben
   
 Betreff des Beitrags:
BeitragVerfasst: 10. März 2009, 09:51:50 AM 
Offline
Meister
Benutzeravatar

Registriert: 02. August 2006, 13:01:07 PM
Beiträge: 503
Wohnort: Hamburg
Hallo Lothar,

eine so detaillierte Darstellung der Beobachtungsauswertung ist sehr nützlich, wenn man diese mit den eigenen Beobachtungen vergleichen will. Auch ein schönes Beispiel für den Wert der Flatkorrektur.
Ich habe ebenfalls am 8.3. g Cas aufnehmen können und werde hier heute Abend meine Ergebnisse mitteilen. Wenn ich mich richtig erinnere, liegt deine EW sehr nah an meiner.
Die Residuen deiner Neonlinienanpassung liegen in der selben Größenordnung wie bei mir. Wenn du nun noch eine stabile Zuordnung der Neonaufnahmen zum Sternspektrum gewährleisten kannst, sollten damit auch sehr genaue Radialgeschwindigkeitsmessungen möglich sein.

Gruß
Roland


Nach oben
   
 Betreff des Beitrags:
BeitragVerfasst: 10. März 2009, 09:57:09 AM 
Offline
Meister
Benutzeravatar

Registriert: 02. August 2006, 13:01:07 PM
Beiträge: 503
Wohnort: Hamburg
Liebe Diskussionsrunde,

nun sind schon eine ganze Menge Fragestellungen abgehandelt worden. Wenn wir uns dann vielleicht demnächst an gamma Cas "abgearbeitet" haben sollten, fände ich es gut, wenn wir gemeinsam eine Zusammenfassung hinbekommen würden als Leifaden für die weitere Beobachtung dieses Objektes.

Gruß
Roland


Nach oben
   
 Betreff des Beitrags:
BeitragVerfasst: 10. März 2009, 16:29:20 PM 
Offline
Meister
Benutzeravatar

Registriert: 02. August 2006, 13:01:07 PM
Beiträge: 503
Wohnort: Hamburg
Hallo,

Hier mein Ergebnis der EW-Messung vom 8.3.09: -34.55
Lothar hatte am 9.3.09: -33.7

Mein Wert liegt also auch gegenüber Lothars Messung höher.
Ich gehe deshalb davon aus, dass die Ursache für diese systematische Abweichung in meiner Auswertung begründet sein muss. Vielleicht hat sich irgendein Fehler im Berechnungsalgorithmus eingeschlichen, den ich trotz mehrfacher Kontrolle immer wieder übersehen habe.

Gruß
Roland


Nach oben
   
 Betreff des Beitrags:
BeitragVerfasst: 10. März 2009, 18:46:46 PM 
Offline
Meister
Benutzeravatar

Registriert: 01. August 2006, 16:08:56 PM
Beiträge: 3866
Wohnort: 68163 Mannheim
Zitat:
Hallo,

Hier mein Ergebnis der EW-Messung vom 8.3.09: -34.55
Lothar hatte am 9.3.09: -33.7

Mein Wert liegt also auch gegenüber Lothars Messung höher.
Ich gehe deshalb davon aus, dass die Ursache für diese systematische Abweichung in meiner Auswertung begründet sein muss. Vielleicht hat sich irgendein Fehler im Berechnungsalgorithmus eingeschlichen, den ich trotz mehrfacher Kontrolle immer wieder übersehen habe.
Hallo Roland,

ich überprüfe meine EWE-Messung noch mal. ich habe keine große Sorgfalt auf die Auswahl der Stützstellen gelegt. Benutzt du bestimmte Stützstellen, welche?

Gruß
Lothar

_________________
Herzliche Grüße / best regards

Lothar

https://lotharschanne.wordpress.com/


Nach oben
   
 Betreff des Beitrags:
BeitragVerfasst: 10. März 2009, 21:31:50 PM 
Offline
Meister
Benutzeravatar

Registriert: 01. August 2006, 16:08:56 PM
Beiträge: 3866
Wohnort: 68163 Mannheim
Hallo,

wenn ich das 1punktnormierte Spektrum in der Ordinate stark einenge erhalte ich die Grafik in der Anlage. Wo soll man da die Stützpunkte für die Normierung auf's Kontinuum oder die EW-Berechnung legen?

Nehme ich mit etwas Mut und schlechtem Gewissen zwei Stützstellen dann finde ich die EW wie in der zweiten Grafik.

Also hier ist einiges an Beliebigkeit in der EW-Berechnung nicht zu vermeiden. Das ist der Fluch der hohen Auflösung!

Etwas deprimiert
Lothar

PS: Es handelt sich um das gleiche Spektrum wie weiter oben.


Dateianhänge:
gamCas_20090308_opn_EW.gif
gamCas_20090308_opn_EW.gif [ 14.35 KiB | 25295 mal betrachtet ]
gamCas_20090308_opn_Kontin.gif
gamCas_20090308_opn_Kontin.gif [ 20.33 KiB | 25295 mal betrachtet ]

_________________
Herzliche Grüße / best regards

Lothar

https://lotharschanne.wordpress.com/
Nach oben
   
 Betreff des Beitrags:
BeitragVerfasst: 14. März 2009, 18:00:27 PM 
Offline
Meister
Benutzeravatar

Registriert: 01. August 2006, 16:08:56 PM
Beiträge: 3866
Wohnort: 68163 Mannheim
Zitat:
Die Kalibrierung mit der internen Neonlampe liegt 1 Angström daneben (5 Pix.), die mit der externen sogar 2 Angström (10 Pix). Den Grund dafür habe ich noch nicht gefunden.
Hallo,

der Fehler ist gefunden. Das Gitter hat in seiner Halterung frei gewackelt, hatte mindestens o,2 mm Spiel.
Mein neues 1800/mm Gitter ist offensichtlich etwas dünner wie das 2400er oder 1200er, die vorher eingebaut waren. Die Halterung konnte das dünnere Gitter nicht mehr verklemmen . Das ist jetzt behoben (dank Berthold's handwerklichen Künsten).
So hat immer alles seinen Grund, man muss ihn nur finden. :wink:

Himmlischer Gruß
Lothar

_________________
Herzliche Grüße / best regards

Lothar

https://lotharschanne.wordpress.com/


Nach oben
   
Beiträge der letzten Zeit anzeigen:  Sortiere nach  
Ein neues Thema erstellen  Auf das Thema antworten  [ 25 Beiträge ] 

Alle Zeiten sind UTC+02:00


Wer ist online?

Mitglieder in diesem Forum: 0 Mitglieder und 0 Gäste


Du darfst keine neuen Themen in diesem Forum erstellen.
Du darfst keine Antworten zu Themen in diesem Forum erstellen.
Du darfst deine Beiträge in diesem Forum nicht ändern.
Du darfst deine Beiträge in diesem Forum nicht löschen.
Du darfst keine Dateianhänge in diesem Forum erstellen.

Suche nach:
Gehe zu:  
Powered by phpBB® Forum Software © phpBB Limited
Deutsche Übersetzung durch phpBB.de