Forum der Vereinigung der Sternfreunde

Forum of the German Amateur Astronomy Association
Aktuelle Zeit: 22. Januar 2026, 16:50:26 PM

Alle Zeiten sind UTC+02:00




Ein neues Thema erstellen  Auf das Thema antworten  [ 58 Beiträge ]  Gehe zu Seite 1 2 Nächste
Autor Nachricht
 Betreff des Beitrags: gamma Cas
BeitragVerfasst: 09. März 2009, 13:21:33 PM 
"Otmar Stahl" schrieb:


Schön. Dann könntest Du also im Prinzip "flat fields" aufnehmen. Nach
meinen Erfahrungen würde ich sagen, das lohnt sich auf jeden Fall -
schon alleine deshalb, weil das Kontinuum damit wesentlich einfacher zu
begradigen ist.


... hallo Otmar und Roland,
anbei meine Flatframe-Messung von gestern Abend im Rahmen einer zeta-Tauri Serie.
Als Beleuchtung diente mir der aufgehellte Himmel direkt neben dem Mond (~90%)

Beste Grüße,
Ernst


Dateianhänge:
Flatframe.jpg
Flatframe.jpg [ 43.07 KiB | 38656 mal betrachtet ]
Nach oben
   
 Betreff des Beitrags: gamma Cas
BeitragVerfasst: 09. März 2009, 13:37:09 PM 
Offline
Meister
Benutzeravatar

Registriert: 17. Dezember 2006, 15:08:21 PM
Beiträge: 904
Wohnort: Neckarsteinach
Hallo Ernst,

Ernst Pollmann wrote:
Zitat:
... hallo Otmar und Roland,
anbei meine Flatframe-Messung von gestern Abend im Rahmen einer
zeta-Tauri Serie.
Als Beleuchtung diente mir der aufgehellte Himmel direkt neben dem Mond
(~90%)
Wie wurde das aufgenommen? Ich weiß nicht, was das ist, aber ein
Mondspektrum ist das jedenfalls nicht. Im Mondspektrum sollten deutlich
die Spektrallinien der Sonne zu sehen sein (z.B. Halpha). Deswegen sind
Mondspektren auch nicht als Flatfield geeignet.
Zitat:
Beste Grüße,
Ernst
Herzliche Grüße,
Otmar


Nach oben
   
 Betreff des Beitrags: gamma Cas
BeitragVerfasst: 09. März 2009, 16:00:55 PM 
Offline
Meister
Benutzeravatar

Registriert: 19. August 2006, 11:45:20 AM
Beiträge: 2740
Wohnort: 66907 Glan-Münchweiler
Hallo Otmar,

wenn ich den Himmel als "flatfield" Beleuchtung nehmen könnte, dann wärs ja doch einfacher (und auch billiger!!!) , als ich die ganze Zeit glaubte, aber beim sonnenbeschienenem Himmel oder eben auch beim vom Mond beschienenem Himmel, habe ich doch immer mit Absorbtionslinien entsprechend des Sonnen spektrums zu rechnen und doch auch mit den Wasserlinien, oder ist das falsch. Wenn nicht, dann ist der beleuchtete Himmel zumindest im ersten Ansatz für flatfields gänzlich ungeeignet.(?)

herzlicher Gruß
berthold
Zitat:
----- Original Message -----
From: Otmar Stahl
Sent: Monday, March 09, 2009 12:37 PM
Subject: [fg-spek] Re: gamma Cas


Nach oben
   
 Betreff des Beitrags:
BeitragVerfasst: 09. März 2009, 16:13:33 PM 
Offline
Meister
Benutzeravatar

Registriert: 01. August 2006, 16:08:56 PM
Beiträge: 3866
Wohnort: 68163 Mannheim
Hallo Ernst,

was ist das für ein flat? Wieso ist das eindimensional und auch noch horizontal ohne Strukturen (Sonnenspektrum).
Wenn du das Flat ohne Tele aufgenommen hast (also nur den Spalt direkt mit Himmelslicht beleuchtet), dann würde ich auch noch das vom Mond etwas modifizierte Sonnenspektrum erwarten.
Oder ist das eine Zeile (oder mehrere addierte) aus einem bias oder dark?

Beste Grüße
Lothar

_________________
Herzliche Grüße / best regards

Lothar

https://lotharschanne.wordpress.com/


Nach oben
   
 Betreff des Beitrags: gamma Cas
BeitragVerfasst: 09. März 2009, 16:24:46 PM 
Offline
Meister
Benutzeravatar

Registriert: 17. Dezember 2006, 15:08:21 PM
Beiträge: 904
Wohnort: Neckarsteinach
Hallo Berthold,

Berthold Stober wrote:
Zitat:
Hallo Otmar,

wenn ich den Himmel als "flatfield" Beleuchtung nehmen könnte, dann
wärs ja doch einfacher (und auch billiger!!!) , als ich die ganze
Zeit glaubte, aber beim sonnenbeschienenem Himmel oder eben auch beim
vom Mond beschienenem Himmel, habe ich doch immer mit
Absorbtionslinien entsprechend des Sonnen spektrums zu rechnen und
doch auch mit den Wasserlinien, oder ist das falsch.
Das ist natürlich richtig.
Zitat:
Wenn nicht, dann ist der beleuchtete Himmel zumindest im ersten
Ansatz für flatfields gänzlich ungeeignet.(?)
"Sky flats" sind für Direktaufnahmen sehr gut. So ohne weiteres sind sie
für spektroskopische Zwecke aber erst mal ungeeignet. Mit einigen
Tricks (im Prinzip zeilenweise Division durch ein Sonnenspektrum) kann
man dann zwar auch spektroskopisch was mit damit anfangen, aber ich habe
das selbst nie versucht. Aber was Ernst gezeigt hat, war sicher kein
Spektrum vom Himmel.
Zitat:
herzlicher Gruß berthold
Herzliche Grüße,
Otmar


Nach oben
   
 Betreff des Beitrags: gamma Cas
BeitragVerfasst: 09. März 2009, 17:38:15 PM 
Offline
Meister
Benutzeravatar

Registriert: 19. August 2006, 11:45:20 AM
Beiträge: 2740
Wohnort: 66907 Glan-Münchweiler
Lieber Otmar,

Danke, manchmal wird man ganz durcheinander und denkt, ob man die ganze Zeit was Einfaches auf komplizierte Weise gelöst hätte.......:-))

herzlicher Gruß
berthold
Zitat:
----- Original Message -----
From: Otmar Stahl
Sent: Monday, March 09, 2009 3:45 PM
Subject: [fg-spek] Re: gamma Cas


"Sky flats" sind für Direktaufnahmen sehr gut. So ohne weiteres sind sie
für spektroskopische Zwecke aber erst mal ungeeignet. Mit einigen
Tricks (im Prinzip zeilenweise Division durch ein Sonnenspektrum) kann
man dann zwar auch spektroskopisch was mit damit anfangen, aber ich habe
das selbst nie versucht. Aber was Ernst gezeigt hat, war sicher kein
Spektrum vom Himmel.


Nach oben
   
 Betreff des Beitrags: gamma Cas
BeitragVerfasst: 09. März 2009, 21:12:55 PM 
Offline
Meister
Benutzeravatar

Registriert: 04. November 2006, 23:51:38 PM
Beiträge: 399
Wohnort: Dresden
Hallo Berthold,

Dämmerungsflat etc. funktionieren NUR spaltlos. Ansonsten (für die "Spalterfraktion") holst Du Dir den ganzen "Sonnen- und Atmospährendreck" mit rein.
Hab ich auf Teneriffa (am MONSter) "probiert", als unsere Kuppelflats (geschlossene Kuppel!) in den Tag reingelaufen sind. Da waren auf einmal Sonnenlinien mit drin... Ausserdem kannst Du Dich sicher an das Romeo-Hungersche Daylight-Flat erinnern, wo wir was über die Stellung der Spaltbacken gelernt hatten. Dort war es ein Sonnenspektrum, sicher aber kein Flat...

Gruß
Thomas

Berthold Stober schrieb:
Zitat:
Hallo Otmar,

wenn ich den Himmel als "flatfield" Beleuchtung nehmen könnte, dann wärs ja doch einfacher (und auch billiger!!!) , als ich die ganze Zeit glaubte, aber beim sonnenbeschienenem Himmel oder eben auch beim vom Mond beschienenem Himmel, habe ich doch immer mit Absorbtionslinien entsprechend des Sonnen spektrums zu rechnen und doch auch mit den Wasserlinien, oder ist das falsch. Wenn nicht, dann ist der beleuchtete Himmel zumindest im ersten Ansatz für flatfields gänzlich ungeeignet.(?)

herzlicher Gruß
berthold


Nach oben
   
 Betreff des Beitrags: gamma Cas
BeitragVerfasst: 09. März 2009, 21:13:23 PM 
Offline
Meister
Benutzeravatar

Registriert: 04. November 2006, 23:51:38 PM
Beiträge: 399
Wohnort: Dresden
Hallo Ernst,

so eine flache Kurve "glaube" ich nicht.
Du mußt einen oszillierenden Untergrund haben zzgl. Linien der Sonne und atmospärische Absorptionen.

Gruß
Thomas

Ernst Pollmann schrieb:
Zitat:

... hallo Otmar und Roland,
anbei meine Flatframe-Messung von gestern Abend im Rahmen einer zeta-Tauri Serie.
Als Beleuchtung diente mir der aufgehellte Himmel direkt neben dem Mond (~90%)
Beste Grüße,
Ernst


Nach oben
   
 Betreff des Beitrags: gamma Cas
BeitragVerfasst: 09. März 2009, 21:57:43 PM 
"Lothar Schanne" schrieb:
was ist das für ein flat? Wieso ist das eindimensional und auch noch horizontal ohne Strukturen (Sonnenspektrum).
Wenn du das Flat ohne Tele aufgenommen hast (also nur den Spalt direkt mit Himmelslicht beleuchtet), dann würde ich auch noch das vom Mond etwas modifizierte Sonnenspektrum erwarten.
Oder ist das eine Zeile (oder mehrere addierte) aus einem bias oder dark?

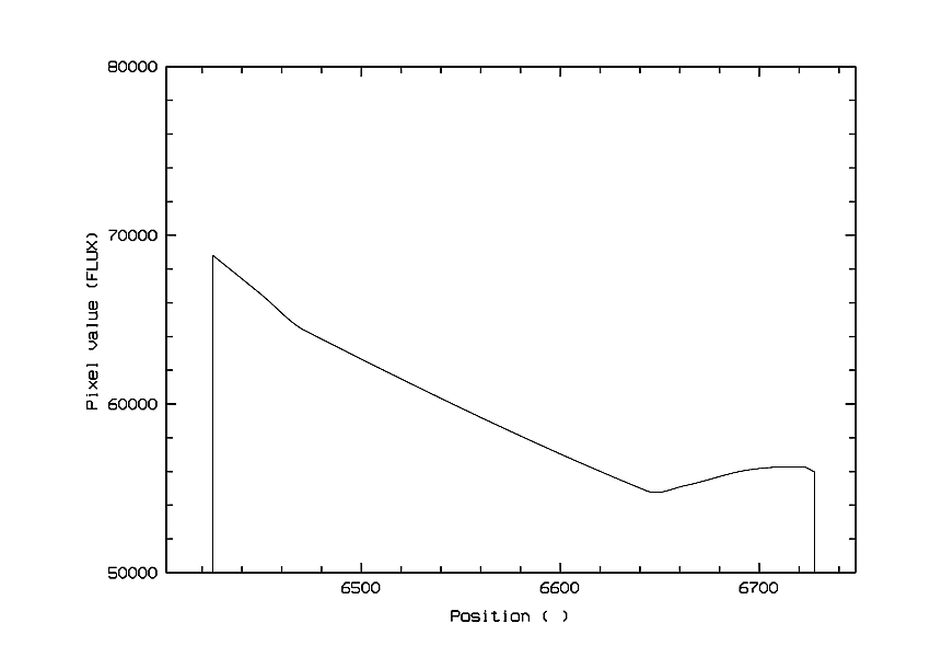
....bei dem gestrigen Spaltlosflat muss irgendwas schief gelaufen sein, falscher Dunkelstromabzug vielleicht o.a., konnte den Fehler nicht mehr rekonstruieren. Ich hatte das Flat ohne Spalt aufgenommen, weil am monderhellten Himmel mit einem Himmelflat Vignettierungen im Spektrographen gut darstellbar seien (las ich). Die besonders flache Ebenheit (Scan über den ganzen Chip) ist mir später auch bewusst geworden. Da konnte was nicht stimmen...

Hier nun ein Laborflat (Anhang):
indirekte Halogenlampenbeleuchtung eines weißen Papierblattes und ca. 20 cm Positionierung vor dem Spalt.
Mittlung von 5 Einzelbildern mit je 15 sec und Dunkelstromabzug 4fach gebinnt, wie bei der Aufnahme des Spektrums.
Gleiche Chip-Temperatur wie beim Sternspektrum.
Scannung der gleichen Pixelzeilen wie im Sternspektrum.

Ernst


Dateianhänge:
Flat.jpg
Flat.jpg [ 38.33 KiB | 38620 mal betrachtet ]
Nach oben
   
 Betreff des Beitrags:
BeitragVerfasst: 10. März 2009, 10:11:12 AM 
Offline
Meister
Benutzeravatar

Registriert: 02. August 2006, 13:01:07 PM
Beiträge: 503
Wohnort: Hamburg
Hallo Ernst,

auch wenn deine Flataufnahme sehr glatt verläuft, möchte ich dir empfehlen, die Flatkorrektur in die Reduktion einzubeziehen. Hast du am 8.3. auch gamma Cas aufgenommen ? Wäre schön, weil wir mit Lothar dann drei vergleichbare Spektren hätten.
Frage:
ist das mit eingezeichnete zeta Tau Spektrum das selbe, dass du vorher eingestellt hast, nur flatkorrigiert? Dann würde dies auch bei dir von Vorteil sein.

Gruß
Roland


Nach oben
   
 Betreff des Beitrags: gamma Cas
BeitragVerfasst: 10. März 2009, 10:54:16 AM 
Offline
Meister
Benutzeravatar

Registriert: 19. August 2006, 11:45:20 AM
Beiträge: 2740
Wohnort: 66907 Glan-Münchweiler
Toll, Lothar!,

berthold
Zitat:
----- Original Message -----
From: Lothar Schanne
Sent: Monday, March 09, 2009 10:51 PM
Subject: [fg-spek] Re: gamma Cas

Hallo,

gestern Abend gaben die Wolken hier kurz den Himmel frei, gerade ausreichend um 40 min gam Cas zu spektroskopieren.


Nach oben
   
 Betreff des Beitrags: gamma Cas
BeitragVerfasst: 10. März 2009, 11:38:13 AM 
"Roland Bücke" schrieb:

auch wenn deine Flataufnahme sehr glatt verläuft, möchte ich dir empfehlen, die Flatkorrektur in die Reduktion einzubeziehen. Hast du am 8.3. auch gamma Cas aufgenommen ? Wäre schön, weil wir mit Lothar dann drei vergleichbare Spektren hätten.
Fragen:
1. ist das mit eingezeichnete zeta Tau Spektrum schon flatkorrigiert?
2. fällt mir auf, dass der Kontinuumverlauf bei Zeta Tau viel glatter ist als bei deinem vorher dargestellten gamma Cas Spektrum. Diese zwei Objekte zeigen in meinen Rohspektren bei Halpha nahezu den gleichen Verlauf. Könnte es sein, dass bei dir die "Welligkeit" der Rohspektren aus irgend einem Grunde mit der Zeit variiert?

...hallo Roland!
1) Nein, gamma Cas kann ich bereits seit Ende Januar nicht aufnehmen.
Wie du ja sicher weist, ist mein (35µ-Spalt)-Spektrograph am C14 auf der linken Seite, und die Guiding-Kamera mit Lichtenknecker-FFC auf der rechten Seite der Montierung angebracht. Durch diese Konfiguration bedingt, bin ich in der Gesamtbeobachtungszeit meiner meisten Programmobjekte im Vergleich zu früher etwas eingeschränkter. So auch bei gamma Cas.

2) Das (gestrige) geplottete Spektrum von zeta Tau ist nicht flatkorrigiert

3) Das "vorher dargestellte Spektrum" war das gleiche zeta Tau-Spektrum, nur in einem anderen Ordinatenmaßstab.

4) Wie im angehängten Bild zu sehen ist, zeigen auch meine Rohspektren beider Sterne einen nahezu gleichen Verlauf bei Halpha erwartungsgemäß!!).
gamma Cas: 15.1.09
zeta Tau: 8.3.09

5) "Welligkeit" der Rohspektren kann ich nicht erkennen. "Welche" meinst du?

Beste Grüße,
Ernst


Dateianhänge:
meine_Konfiguration.jpg
meine_Konfiguration.jpg [ 44.71 KiB | 38597 mal betrachtet ]
gcas_zetatau.jpg
gcas_zetatau.jpg [ 46.01 KiB | 38597 mal betrachtet ]
Nach oben
   
 Betreff des Beitrags: gamma Cas
BeitragVerfasst: 10. März 2009, 11:45:38 AM 
"Lothar Schanne" <l.schanne@arcor.de> schrieb:

Die Kalibrierung mit der internen Neonlampe liegt 1 Angström daneben (5 Pix.), die mit der externen sogar 2 Angström (10 Pix). Den Grund dafür habe ich noch nicht gefunden.

... hallo Lothar,
lass uns auf den Aspekt der "Verbesserung der Kalibrationsgenauigkeit" etwas später zu sprechen kommen.
Roland und ich haben im Rahmen unser beider HeI6678-RV-Messungen an zeta Tau diese Frage vor Wochen eingehend diskutiert.
Denn auf zeta Tau wollten wir "im Anschluß an gamma Cas" hier auch zu sprechen kommen.
Einverstanden?

Beste Grüße,
Ernst


Nach oben
   
 Betreff des Beitrags: Re: gamma Cas
BeitragVerfasst: 10. März 2009, 13:12:39 PM 
Offline
Meister
Benutzeravatar

Registriert: 01. August 2006, 16:08:56 PM
Beiträge: 3866
Wohnort: 68163 Mannheim
Zitat:
"lass uns auf den Aspekt der "Verbesserung der Kalibrationsgenauigkeit" etwas später zu sprechen kommen.
Hallo Ernst,

das ist kein grundsätzliches Problem. Bei dieser speziellen Aufnahme war bei meiner Apparatur was Mechanisches nicht in Ordnung (locker?). Ich habe der Ordnung halber erwähnt, dass die Kalibrierung des Spektrums nicht normal ist.

Viele Grüsse
Lothar

_________________
Herzliche Grüße / best regards

Lothar

https://lotharschanne.wordpress.com/


Nach oben
   
 Betreff des Beitrags:
BeitragVerfasst: 10. März 2009, 14:19:29 PM 
Offline
Meister
Benutzeravatar

Registriert: 02. August 2006, 13:01:07 PM
Beiträge: 503
Wohnort: Hamburg
Hallo Ernst,
Zitat:
"Welligkeit" der Rohspektren kann ich nicht erkennen. "Welche" meinst du?
Da habe ich mich wirklich missverständlich ausgedrückt, da bei deiner Flataufnahme nur eine leichte Nichtlinearität vorhanden ist. Ich habe da immer meine Rohaufnahmen und Flats vor Augen, bei denen man ja tatsächlich von Welligkeit sprechen kann.

Gruß
Roland


Nach oben
   
 Betreff des Beitrags: gamma Cas
BeitragVerfasst: 10. März 2009, 15:25:14 PM 
"Lothar Schanne" <l.schanne@arcor.de> schrieb:

gestern Abend gaben die Wolken hier kurz den Himmel frei, gerade ausreichend um 40 min gam Cas zu spektroskopieren.
Technik:

...hallo Lothar,
sicher kennst mein HeI6678-EW-Monitoring von gamma Cas (Anhang).
Ich wäre sehr stark an deinem/deinen Spektrum/Spektren zur Verwertung/Auswertung der He6678-Emission interessiert.
Wird du das Spektrum in Otmar´s DB verfügbar machen?

Beste Grüße,
Ernst


Dateianhänge:
Fig.2.jpg
Fig.2.jpg [ 48.08 KiB | 38587 mal betrachtet ]
Nach oben
   
 Betreff des Beitrags: gamma Cas
BeitragVerfasst: 10. März 2009, 16:53:10 PM 
Offline
Meister
Benutzeravatar

Registriert: 17. Dezember 2006, 15:08:21 PM
Beiträge: 904
Wohnort: Neckarsteinach
Hallo,

Roland Bücke wrote:
Zitat:
Hallo,

Hier mein Ergebnis der EW-Messung vom 8.3.09: -34.55 Lothar hatte am
9.3.09: -33.7

Mein Wert liegt also auch gegenüber Lothars Messung höher. Ich gehe
deshalb davon aus, dass die Ursache für diese systematische
Abweichung in meiner Auswertung begründet sein muss. Vielleicht hat
sich irgendein Fehler im Berechnungsalgorithmus eingeschlichen, den
ich trotz mehrfacher Kontrolle immer wieder übersehen habe.
Ist der Unterschied wirklich signifikant? Der Unterschied beträgt 0.85
Angström, bei einer Fensterbreite von Lothar von 70 Angström!
0.85/70 = 0.012. Das ist nicht viel. Lothar, hast Du das Kontinuum von
Hand gesetzt? Wenn ich mir den Plot ansehe, halte ich es für fast
unmöglich, das Kontinuum (bei dem Maßstab) auf 1% von Hand
festzulegen. Ich würde dringend dazu raten, das Kontinuum automatisch
bestimmen zu lassen, und die Integrationsgrenzen etwas großzügiger zu
wählen. Ich bin nicht so sicher, dass die Linie bei 6530, 6600 schon
zu Ende ist. Von wo bis wo integrierst Du, Roland?
Zitat:
Gruß Roland
Herzliche Grüße,
Otmar


Nach oben
   
 Betreff des Beitrags: gamma Cas
BeitragVerfasst: 10. März 2009, 17:26:34 PM 
Offline
Meister
Benutzeravatar

Registriert: 17. Dezember 2006, 15:08:21 PM
Beiträge: 904
Wohnort: Neckarsteinach
Hallo noch mal,

Roland Bücke wrote:
Zitat:
Hallo,

Hier mein Ergebnis der EW-Messung vom 8.3.09: -34.55
Lothar hatte am 9.3.09: -33.7
Ich habe eben das Spektrum von Roland aus der Datenbank geholt und
selbst mal nachgemessen. In dem Plot sieht man, wie ich das Kontinuum
gelegt habe. Das ist sicher nicht ganz frei von Willkür (meine
Kontinuumspunkte in x sind ohne besondere Sorgfalt frei gewählt. y wurde
automatisch bestimmt, und dann ein Spline interpoliert). Es sieht so
aus, als ob die Linie bei 6600 noch nicht zu Ende ist. Damit erhalte ich
in [6530:6600], [6530:6610] und [6530:6620] die folgenden EW: -33.81,
-34.32, -34.55.

Damit sieht man zumindest, dass die Lage des Kontinuums und Größe des
Integrationsbereichs sehr kritisch sind, vor allem wegen der großen
Breite der Linie.

Herzliche Grüße,
Otmar


Dateianhänge:
spec.png
spec.png [ 2.6 KiB | 38584 mal betrachtet ]
Nach oben
   
 Betreff des Beitrags: Re: gamma Cas
BeitragVerfasst: 10. März 2009, 18:52:00 PM 
Offline
Meister
Benutzeravatar

Registriert: 01. August 2006, 16:08:56 PM
Beiträge: 3866
Wohnort: 68163 Mannheim
Zitat:
Ich wäre sehr stark an deinem/deinen Spektrum/Spektren zur Verwertung/Auswertung der He6678-Emission interessiert.
Wird du das Spektrum in Otmar´s DB verfügbar machen?
natürlich Ernst. Wahrscheinlich noch heute Abend (wenn ich zu Hause bin).

Lothar

_________________
Herzliche Grüße / best regards

Lothar

https://lotharschanne.wordpress.com/


Nach oben
   
 Betreff des Beitrags: gamma Cas
BeitragVerfasst: 10. März 2009, 21:43:52 PM 
"Lothar Schanne" schrieb:

Also hier ist einiges an Beliebigkeit in der EW-Berechnung nicht zu vermeiden.

... ich würde mich gerne dieses Spektrums einmal annehmen, Lothar.
Könnte ich das Rohspektrum als fit-File bekommen? Ausserdem bin scharf auf die Auswertung der He6678-Emission!!
Ernst


Nach oben
   
 Betreff des Beitrags:
BeitragVerfasst: 11. März 2009, 11:12:47 AM 
Offline
Meister
Benutzeravatar

Registriert: 02. August 2006, 13:01:07 PM
Beiträge: 503
Wohnort: Hamburg
Hallo Otmar und alle Anderen,

Otmar, vielen Dank für deine Auswertung meines Spektrums. Ich werde heute Abend vergleichend meine Normierung einstellen. Dein Beispiel zeigt aber schon deutlich, wie sensibel der EW-Wert auf die Festlegung des Integrationsbereichs reagiert. Anders wird es auch nicht bei der Festlegung der Stützstellen und der verwendeten Funktion sein. Einige Parameter sind sicherlich nicht genau definierbar, so dass man höchstens strenge Vereinbarungen für die Auswertung treffen kann oder mit einer gewissen Bandbreite an Ergebnissen der einzelnen Beobachter leben muss. Welchen Weg man gehen sollte, müssten wir noch diskutieren. Dann bleiben immer noch die verschiedene Auflösung und der abgebildete Spektralbereich als Einflussgrößen, so dass eine 100% Festlegung wohl nicht praktikabel sein wird.
Etwas anderes ist die Streuung der Messwerte, die man durch eine genau definierte Normierung verringern kann, was mir offensichtlich schon ganz gut gelingt.

Schon vor längerer Zeit, vor etwa 2 Jahren, hatten wir Beobachter uns auf einen Wellenlängenbereich von 6530 bis 6600 Angström geeinigt. Fals wir jetzt feststellen müssen, dass diese Grenzen nicht korrekt festgelegt wurden, müssen wir unter Umständen in den sauren Apfel beißen und die Spektren noch einmal neu durchrechnen.

Gruß
Roland


Nach oben
   
 Betreff des Beitrags: gamma Cas
BeitragVerfasst: 11. März 2009, 11:16:12 AM 
Offline
Meister
Benutzeravatar

Registriert: 19. August 2006, 11:45:20 AM
Beiträge: 2740
Wohnort: 66907 Glan-Münchweiler
DAs ist ein sehr guter Vorschlag!

berthold
Zitat:
----- Original Message -----
From: Roland Bücke
Sent: Tuesday, March 10, 2009 8:57 AM
Subject: [fg-spek] Re: gamma Cas
Liebe Diskussionsrunde,

nun sind schon eine ganze Menge Fragestellungen abgehandelt worden. Wenn wir uns dann vielleicht demnächst an gamma Cas "abgearbeitet" haben sollten, fände ich es gut, wenn wir gemeinsam eine Zusammenfassung hinbekommen würden als Leifaden für die weitere Beobachtung dieses Objektes.

Gruß
Roland


Nach oben
   
 Betreff des Beitrags:
BeitragVerfasst: 11. März 2009, 11:28:17 AM 
Offline
Meister
Benutzeravatar

Registriert: 02. August 2006, 13:01:07 PM
Beiträge: 503
Wohnort: Hamburg
Noch zur Ergänzung,

auch wenn es uns gelingen sollte, die Festlegung des Kontinuums und des Linienbereichs zu perfektionieren, bleibt immer noch der Einfluss der von den atmosphärischen Bedingungen abhängigen Stärke der Wasserlinien, für deren Korrektur meine Spektren z.B. eine zu geringe Auflösung haben. Spätestens an dieser Stelle hört es dann mit der Vergleichbarkeit auf.

Gruß
Roland


Nach oben
   
 Betreff des Beitrags:
BeitragVerfasst: 11. März 2009, 16:52:23 PM 
Offline
Meister
Benutzeravatar

Registriert: 01. August 2006, 16:08:56 PM
Beiträge: 3866
Wohnort: 68163 Mannheim
Zitat:
bleibt immer noch der Einfluss der von den atmosphärischen Bedingungen abhängigen Stärke der Wasserlinien, für deren Korrektur meine Spektren z.B. eine zu geringe Auflösung haben. Spätestens an dieser Stelle hört es dann mit der Vergleichbarkeit auf.
Ja, Roland, der Einfluss der Wasserlinien liegt im unteren Prozentbereich der EW, und dazu noch als systematischer und variabler Minderbefund (bei Emissionslinien). Ich hatte das vor etwas einem Jahr überprüft, in dem ich mit VisSpec und auch mit MIDAS die Wasserlinien rausgerechnet habe. Der Fehler ist also in ähnlicher Größenordnung wie die EW-Fehlmessungen durch Normierung und Stützstellenfestlegung.
Gruß
Lothar

_________________
Herzliche Grüße / best regards

Lothar

https://lotharschanne.wordpress.com/


Nach oben
   
 Betreff des Beitrags: gamma Cas
BeitragVerfasst: 11. März 2009, 21:23:25 PM 
"Roland Bücke" <rb@buecke.de> schrieb:

Otmar, vielen Dank für deine Auswertung meines Spektrums. Ich werde heute Abend vergleichend meine Normierung einstellen. Dein Beispiel zeigt aber schon deutlich, wie sensibel der EW-Wert auf die Festlegung des Integrationsbereichs reagiert. Anders wird es auch nicht bei der Festlegung der Stützstellen und der verwendeten Funktion sein. Einige Parameter sind sicherlich nicht genau definierbar, so dass man höchstens strenge Vereinbarungen für die Auswertung treffen kann oder mit einer gewissen Bandbreite an Ergebnissen der einzelnen Beobachter leben muss. Welchen Weg man gehen sollte, müssten wir noch diskutieren. Dann bleiben immer noch die verschiedene Auflösung und der abgebildete Spektralbereich als Einflussgrößen, so dass eine 100% Festlegung wohl nicht praktikabel sein wird.
Etwas anderes ist die Streuung der Messwerte, die man durch eine genau definierte Normierung verringern kann, was mir offensichtlich schon ganz gut gelingt.

Schon vor längerer Zeit, vor etwa 2 Jahren, hatten wir Beobachter uns auf einen Wellenlängenbereich von 6530 bis 6600 Angström geeinigt. Fals wir jetzt feststellen müssen, dass diese Grenzen nicht korrekt festgelegt wurden, müssen wir unter Umständen in den sauren Apfel beißen und die Spektren noch einmal neu durchrechnen.

Mein Wert liegt also auch gegenüber Lothars Messung höher.
Ich gehe deshalb davon aus, dass die Ursache für diese systematische Abweichung in meiner Auswertung begründet sein muss. Vielleicht hat sich irgendein Fehler im Berechnungsalgorithmus eingeschlichen, den ich trotz mehrfacher Kontrolle immer wieder übersehen habe.

...hallo Roland und alle Anderen, im Anhang meine Auswertung:
die Normierung habe ich im Bereich 6500-6700 A vorgenommen (der Vergleichbarkeit mit meinen Spektren wegen), und zwar wie üblich mit MK32 und seiner Smooth-Funktion.
Diese Funktion ist nichts anderes als eine Mittewertbildung über eine frei bestimmbare Anzahl von Pixeln, ich habe hier 50 Pixel gewählt.
Der damit angezeigt Spline ist sehr hilfreich bei der "subjektiven" Festlegung des Pseudokontinuums. So verfahre ich seit Jahren bei der EW-Bestimmung an den unterschiedlichsten Sternen, wobei die erhaltenen Werte verglichen mit vielen anderen Beobachtern bzw. Instrumenten meist bis auf ganz wenige Zehntel übereinstimmen. Die EW-Berechnung selbst nehme ich mit EXCEL vor.

Ausserdem habe ich die He6678-Emission mit der gleichen Methode ausgewertet: die EW dieses Spektrums (8.3.09) und die im Spektrum v. 18.2.08 (aus Otmar´s DB) sind im angehängten Plot eingetragen. Würde mich freuen Lothar, wenn auch künftige gCas-Spektren verfügbar sind.

Beste Grüße,
Ernst


Dateianhänge:
He6678_Monitoring.jpg
He6678_Monitoring.jpg [ 49.33 KiB | 38517 mal betrachtet ]
Halpha.jpg
Halpha.jpg [ 48.45 KiB | 38517 mal betrachtet ]
Nach oben
   
 Betreff des Beitrags:
BeitragVerfasst: 11. März 2009, 21:35:27 PM 
Offline
Meister
Benutzeravatar

Registriert: 02. August 2006, 13:01:07 PM
Beiträge: 503
Wohnort: Hamburg
Hallo,

hier zum Vergleich zu Otmars Auswertung meine Festlegung des Kontinuums: blau: Stützstellen, grün: Polynom
leider kann ich auf die Schnelle die X-Achse nur in Pixeln angeben, da ich erst nach der Normierung kalibriere.
In der Detailansicht sieht man, dass das Kontinuum etwas oberhalb der ersten Stützstellengruppe verläuft. Dies liegt an der Lage der vorherigen Stützstellengruppen. In die Bewertung fließt also der Gesamtverlauf des großen Spektralbereichs ein. Aber der Unterschied zu Otmars Kontinuumfestlegung ist sehr gering.
Jetzt aber zu den EW's:
6530 - 6600 = -34.55
6530 - 6610 = -34.64
6530 - 6620 = -34.65
Woher kommt nun der Unterschied zu Otmar's EW-Werten?
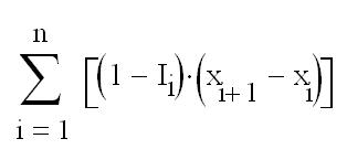
Eine Überprüfung meiner Berechnung mit Excel nach der abgebildeten Formel ergibt die gleichen Werte. Ist mein Berechnungsansatz nicht korrekt?

Gruß
Roland


Dateianhänge:
gam Cas 2009.03.08.jpg
gam Cas 2009.03.08.jpg [ 41.83 KiB | 38516 mal betrachtet ]
Formel.jpg
Formel.jpg [ 4.93 KiB | 38516 mal betrachtet ]
Nach oben
   
 Betreff des Beitrags: gamma Cas
BeitragVerfasst: 11. März 2009, 21:47:11 PM 
"Roland Bücke" schrieb:

Woher kommt nun der Unterschied zu Otmar's EW-Werten?

...hallo Roland,
könnte man nicht angesichts der Zielsetzung - nämlich EW-Messung an der Halpha-Emission - ebensogut fragen, ob die Normierung ohnehin nur auf "den relevanten Spektralabschnitt" begrenzt sein sollte, der von Interesse ist?
Ernst


Nach oben
   
 Betreff des Beitrags:
BeitragVerfasst: 11. März 2009, 21:59:23 PM 
Offline
Meister
Benutzeravatar

Registriert: 02. August 2006, 13:01:07 PM
Beiträge: 503
Wohnort: Hamburg
Hallo Ernst,
Zitat:
könnte man nicht angesichts der Zielsetzung - nämlich EW-Messung an der Halpha-Emission - ebensogut fragen, ob die Normierung ohnehin nur auf "den relevanten Spektralabschnitt" begrenzt sein sollte, der von Interesse ist?
Damit hätte ich auch kein Problem. Mein Vorgehen resultiert daraus, dass ich natürlich möglichst mein gesamtes Spektrum in einem Arbeitsgang normieren möchte. Aber ich könnte das Polynom auch so abändern, dass es genau durch die Stützstellen im Bereich der Halpha-Linie verläuft.
Nur in diesem konkreten Fall, sehe ich eher, dass Otmars' Kontinuum sogar etwas tiefer verläuft als bei meiner Festlegung, sein EW-Werte also eher größer ausfallen müssten. Deshalb bin ich etwas verunsichert, ob nicht in meiner Berechnung ein kleiner Fehler steckt. Stimmt meine Formel, die ich so in Excel verwendet habe?

Gruß
Roland


Nach oben
   
 Betreff des Beitrags:
BeitragVerfasst: 12. März 2009, 00:29:42 AM 
Offline
Meister
Benutzeravatar

Registriert: 01. August 2006, 16:08:56 PM
Beiträge: 3866
Wohnort: 68163 Mannheim
Zitat:
Stimmt meine Formel, die ich so in Excel verwendet habe?
Hallo Roland,

wenn ich die Formel richtig interpretiere, dann ist doch der Ausdruck in der Klammer (Xi+1 - Xi) einfach eine Konstante, nämlich die Schrittweite (Dispersion) des Spektrums in Pixel, z.B. 0.5 A/Pix. (Ich setze dabei lineares rebinnen des kalibrierten Spektrums voraus. Hier könnte sich ein Fehler einschleichen, wenn du nach der EW-Berechnung erst kalibrierst, mit einem nichtlinearen Polynom und dann das Formelergebnis mit der Dispersion multiplizierst. Bei einer nicht-linearen Kalibrierfunktion sind die Pixel nicht gleichwertig, sie umfassen unterschiedliche Wellenlängenintervalle).

Diese Konstante kannst du auch vor das Summenzeichen ziehen, also die Berechnung vereinfachen.

Die Formel ist aber nur anwendbar auf ein normiertes Spektrum, weil das Kontinuum auf 1 gesetzt ist.

Lieber Gruß
Lothar

_________________
Herzliche Grüße / best regards

Lothar

https://lotharschanne.wordpress.com/


Nach oben
   
 Betreff des Beitrags: Re: gamma Cas
BeitragVerfasst: 12. März 2009, 00:35:23 AM 
Offline
Meister
Benutzeravatar

Registriert: 01. August 2006, 16:08:56 PM
Beiträge: 3866
Wohnort: 68163 Mannheim
Zitat:
...hallo Roland,
könnte man nicht angesichts der Zielsetzung - nämlich EW-Messung an der Halpha-Emission - ebensogut fragen, ob die Normierung ohnehin nur auf "den relevanten Spektralabschnitt" begrenzt sein sollte, der von Interesse ist?
Ernst
Hallo Ernst,

eine Normierung ist überhaupt nicht notwendig. Es reicht im (nicht normierten) kalibrierten Rohspektrum für den interessanten Bereich einer Linie das angenommene Kontinuum festzulegen (zu interpolieren). So hat es Roland auch gemacht.
Es genügt auch ein nicht-kalibriertes Spektrum, wenn man die Dispersion im Spektralbereich der zu vermessenden Linie genau kennt und diese dort konstant ist.

Lieber Gruß
Lothar

_________________
Herzliche Grüße / best regards

Lothar

https://lotharschanne.wordpress.com/


Nach oben
   
 Betreff des Beitrags:
BeitragVerfasst: 12. März 2009, 10:04:07 AM 
Offline
Meister
Benutzeravatar

Registriert: 02. August 2006, 13:01:07 PM
Beiträge: 503
Wohnort: Hamburg
Hallo Lothar,

vielen Dank für deine Erläuterungen. Diese geben mir die Gewissheit, dass ich wenigstens bei der Berechnung der EW keinen Fehler eingebaut habe. Anstelle von x hätte ich lampda für die Wellenlänge schreiben müssen, da ich die Berechnung am kalibrierten Spektrum vornehme. Da die Dispersion der reduzierten Originalspektren nicht ganz konstant ist, setze ich hier die tatsächlichen Wellenlängen ein. Natürlich muss man auch nicht erst die Normierung explizit ausführen.
Die Spektren für die Datenbank sind resampled (rebinning meint sicher das Gleiche) und somit äquidistant. Dies mache ich, damit die Genauigkeit der Kalibrierung erhalten bleibt, wenn ich mehrere Spektren aufaddiere.
Da Otmar die EW aus einem Spektrum der Datenbank berechnet hat, werde ich als nächstes prüfen müssen, ob durch das resampling eine Ungenauigkeit, z.B. durch ein ungeeignetes Interpolationsverfahren, entsteht. Im Zusammenhang mit der Kreuzkorrelation habe ich mal gelesen, dass ein Resampling immer mit einem Informationsverlust verbunden ist - nur ist mir die Differenz von etwa 0,5 bis 0,8 Angström einfach zu groß.

Herzliche Grüße
Roland


Nach oben
   
 Betreff des Beitrags: gamma Cas
BeitragVerfasst: 12. März 2009, 10:20:13 AM 
Offline
Meister
Benutzeravatar

Registriert: 17. Dezember 2006, 15:08:21 PM
Beiträge: 904
Wohnort: Neckarsteinach
Hallo Roland,

Roland Bücke wrote:
Zitat:
Hallo,

hier zum Vergleich zu Otmars Auswertung meine Festlegung des
Kontinuums: blau: Stützstellen, grün: Polynom leider kann ich auf die
Schnelle die X-Achse nur in Pixeln angeben, da ich erst nach der
Normierung kalibriere. In der Detailansicht sieht man, dass das
Kontinuum etwas oberhalb der ersten Stützstellengruppe verläuft. Dies
liegt an der Lage der vorherigen Stützstellengruppen. In die
Bewertung fließt also der Gesamtverlauf des großen Spektralbereichs
ein. Aber der Unterschied zu Otmars Kontinuumfestlegung ist sehr
gering. Jetzt aber zu den EW's: 6530 - 6600 = -34.55 6530 - 6610 =
-34.64 6530 - 6620 = -34.65 Woher kommt nun der Unterschied zu
Otmar's EW-Werten? Eine Überprüfung meiner Berechnung mit Excel nach
der abgebildeten Formel ergibt die gleichen Werte. Ist mein
Berechnungsansatz nicht korrekt?
Einen Rechenfehler würde ich da nicht vermuten. Ich denke eher, dass ich
das Kontinuum etwas anders gelegt habe. Schon etwa 1% Unterschied im
Kontinuum reicht aus. Das betrifft nicht nur die Kontinnumsmessung an
den Rändern, sondern besonders das Kontinuum dazwischen. Um dahin zu
kommen, muss man die Normierung sehr reproduzierbar durchführen, da man
einen sehr großen Wellenlängenbereich interpolieren muss. Ich muss
sagen, dass mich Unterschiede von 1A nicht wirklich überraschen. Das
heißt nicht, dass es nicht besser geht, aber man muss sich dann auf ein
Verfahren einigen. Aber auch dann bin ich noch sehr skeptisch bei
Spektren, bei denen das Kontinuum im unnormierten Spektrum (wie bei
Ernst oder Lothar), über die Breite der Linie schon stark gekrümmt ist.
Ich glaube kaum, dass sich das Kontinuum unter der Linie in diesen
Fällen auf 1% oder besser festlegen lässt.
Zitat:
Gruß Roland
Herzliche Grüße,
Otmar


Nach oben
   
 Betreff des Beitrags: gamma Cas
BeitragVerfasst: 12. März 2009, 10:28:14 AM 
"Lothar Schanne" <l.schanne@arcor.de> schrieb:


eine Normierung ist überhaupt nicht notwendig. Es reicht im (nicht normierten) kalibrierten Rohspektrum für den interessanten Bereich einer Linie das angenommene Kontinuum festzulegen (zu interpolieren). So hat es Roland auch gemacht.
Es genügt auch ein nicht-kalibriertes Spektrum, wenn man die Dispersion im Spektralbereich der zu vermessenden Linie genau kennt und diese dort konstant ist.

...hallo Lothar,
das ist sicher richtig.
Mein obiger Hinweis hatte lediglich die "Schwierigkeit des Normierens mit Polynomen und der damit verbundenen subjektiven Festlegung entsprechender Stützstellen über einen weiten Spektralbereich" als Hintergrund.

Richtig ist selbstverständlich auch, dass bei bekannter Dispersion zur EW-Berechnung die Kalibration explizit nicht erforderlich ist, vollkommen klar.

Aber eine Frage drängt sich mir (im Verlaufe der aus meiner Sicht fantastischen) Diskussion auf:
warum sprecht ihr beide gelegentlich davon, dass die Dispersion im fraglichen Bereich konstant sein soll?
Bei meinen stets zugrunde liegenden Neon-Kalibrationen mit den drei Linien im Bereich 6500-6700 A ist die Dispersion unter Verwendung der linearen Regression (y = a+bx) konstant.

Beste Grüße,
Ernst


Nach oben
   
 Betreff des Beitrags:
BeitragVerfasst: 12. März 2009, 11:27:29 AM 
Offline
Meister
Benutzeravatar

Registriert: 02. August 2006, 13:01:07 PM
Beiträge: 503
Wohnort: Hamburg
Hallo Ernst,
Zitat:
warum sprecht ihr beide gelegentlich davon, dass die Dispersion im fraglichen Bereich konstant sein soll?
Bei meinen stets zugrunde liegenden Neon-Kalibrationen mit den drei Linien im Bereich 6500-6700 A ist die Dispersion unter Verwendung der linearen Regression (y = a+bx) konstant.
Bei meinem Spektrographen ist die Dispersion tatsächlich nicht konstant, sonst müsste ich für Radialgeschwindigkeitsmessungen nicht mit einem Polynom 4. Grades kalibrieren. Es könnte allerdings sein, dass für die Berechnung der EW die Annahme einer konstanten Dispersion ausreichend genau ist. Aber da es keine Mühe macht, rechne ich lieber mit den exakten Werten für die Dispersion.

Herzliche Grüße
Roland


Nach oben
   
 Betreff des Beitrags:
BeitragVerfasst: 12. März 2009, 11:35:08 AM 
Offline
Meister
Benutzeravatar

Registriert: 02. August 2006, 13:01:07 PM
Beiträge: 503
Wohnort: Hamburg
Hallo Otmar,
Zitat:
Ich muss
sagen, dass mich Unterschiede von 1A nicht wirklich überraschen. Das
heißt nicht, dass es nicht besser geht, aber man muss sich dann auf ein
Verfahren einigen.
Dies möchte ich gern erreichen. Deshalb werde ich noch etwas weiter nachforschen, wie man dies evtl. erreichen kann und ob bei mir eine Anpassung des Verfahrens möglich ist, damit die systematische Abweichung zu den anderen Beobachtern (es sind ja nicht nur die Ergebnisse von Ernst) behoben wird.

Herzliche Grüße
Roland


Nach oben
   
 Betreff des Beitrags:
BeitragVerfasst: 12. März 2009, 12:20:13 PM 
Offline
Meister
Benutzeravatar

Registriert: 01. August 2006, 16:08:56 PM
Beiträge: 3866
Wohnort: 68163 Mannheim
Zitat:
und ob bei mir eine Anpassung des Verfahrens möglich ist, damit die systematische Abweichung zu den anderen Beobachtern (es sind ja nicht nur die Ergebnisse von Ernst) behoben wird.
Hallo Beteiligte,

je nach verwendetem Gitter (abgebildeter Wellenlängenbereich) verwende ich auch > 3 Neonlinien (bis 8). Dann benutze ich eine Kalibrierfunktion vom Grad 2 (quadratischer Term vorhanden). Ein Beispiel in der Anlage. Darin sieht man schön, dass die Kalibrierfunktion dann eine Parabel ist, also die Pixel über den Wellenlängenbereich keine (exakt) konstante Dispersion aufweisen. Die Residuen werden durch die genauere Anpassung reduziert. Daselbe machst Rolandja auch, nur mit noch höheren Termen. Er hat aber mit der geringeren Dispersion seiner Apparatur noch deutlich mehr Neonlinien zur Verfügung.

Was nun die Einheitlichkeit bzgl. einer Kontinuumsfestlegung betrifft ist die einheitliche Stützstellenliste ein Weg. Aber wegen der unterschiedlichen Kontinuumkurven (response) und Dispersion der unterschiedlichen Beobachter ist die einheitliche Liste doch nicht für alle optimal. Z.B. stören Roland keine Wasserlinien und sonstige schwache schmale Linien. Ernst, Berthold und ich werden aber Wasserlinien und schwache Linien ausklammern und können sie auch aus der EW rechnerisch heraushalten. Die response unserer Apparaturen haben unterschiedliche Krümmung und Wellen (Pixelempfindlichkeit der unterschiedllichen CCD, mit Flats aber entfernbar) im interessanten Wellenlängenbereich. Dadurch muss das Kontinuum anders angepasst werden...etc....

Es bleibt wohl eine erhebliche Rest-Unsicherheit, wie das unsichtbare wahre Kontinuum eines Spektrums aussieht, insbesondere bei breiten Linien. Auch wenn die EW-Streuung (Wiederholbarkeit) durch solche normierten Vorgehensweisen verringert wird, bleibt die Vergleichbarkeit zwischen den Beobachtern mit höheren Fehlern behaftet.

Unsere Diskussion und insbesondere deine Ergebnisse zeigen, dass eine hohe Auflösung bei der Bestimmung der EW starker Linien durchaus suboptimal sein kann (wenn man die Möglichkeit des Herausrechnens von Wasserlinien außen vor lässt).

Liebe Grüße
Lothar


Dateianhänge:
delta.png
delta.png [ 5.32 KiB | 38464 mal betrachtet ]
residuals.png
residuals.png [ 5.77 KiB | 38464 mal betrachtet ]

_________________
Herzliche Grüße / best regards

Lothar

https://lotharschanne.wordpress.com/
Nach oben
   
 Betreff des Beitrags:
BeitragVerfasst: 12. März 2009, 12:54:26 PM 
Offline
Meister
Benutzeravatar

Registriert: 02. August 2006, 13:01:07 PM
Beiträge: 503
Wohnort: Hamburg
Hallo,

Lothars Ausführungen fassen schon sehr schön die bisherigen Erkenntnisse bezüglich der EW-Messung zusammen. Ich kann ihm in allen Punkten zustimmen.
Hinzufügen möchte ich noch, dass für das Langzeitmonitoring der EW eine gewisse systematische Abweichung zwischen den Beobachtern (< 1 Angström ??) den Informationsgehalt des Minitorings nicht nenneswert schmälert, da die beobachtete zeitliche Veränderung weniger vom Absolutwert der EW abhängt. Eine möglichst gute Übereinstimmung der Messwerte durch Minimierung der systematischen Fehler ist dennoch ein erstrebenswertes Ziel.
Die Streuung der Messwerte eines Beobachters lässt sich unter Umständen durch genau festgelegte Stützstellen und Berücksichtung der Apparatefunktion (Flataufnahmen) verringern. Eine geringere Streuung der Messwerte verbessert den Nachweis zeitlicher Veränderungen der EW.

Gruß
Roland


Nach oben
   
 Betreff des Beitrags:
BeitragVerfasst: 12. März 2009, 13:16:36 PM 
Offline
Meister
Benutzeravatar

Registriert: 01. August 2006, 16:08:56 PM
Beiträge: 3866
Wohnort: 68163 Mannheim
Zitat:
Hinzufügen möchte ich noch, dass für das Langzeitmonitoring der EW eine gewisse systematische Abweichung zwischen den Beobachtern (< 1 Angström ??) den Informationsgehalt des Minitorings nicht nenneswert schmälert, da die beobachtete zeitliche Veränderung weniger vom Absolutwert der EW abhängt.
Ja, richtig. EW-Messungen unterschiedlicher Beobachter sind ein Beleg für die Zuverlässigkeit der Zeitverläufe. Damit werden die Ergebnisse "härter" und glaubhafter, auch wenn die Beobachter untereinander etwas abweichende Ergebnisse finden.

_________________
Herzliche Grüße / best regards

Lothar

https://lotharschanne.wordpress.com/


Nach oben
   
 Betreff des Beitrags:
BeitragVerfasst: 14. März 2009, 14:30:05 PM 
Offline
Meister
Benutzeravatar

Registriert: 02. August 2006, 13:01:07 PM
Beiträge: 503
Wohnort: Hamburg
Liebe Diskussionsrunde,

unseren bisherigen Gedankenaustausch finde ich sehr aufschlussreich und er hat aus meiner Sicht vor allem zur Frage der Kontinuumsfestlegung als Grundlage der EW-Berechnung einiges klarer werden lassen. Momentan versuche ich einige der herausgearbeiteten Aspekte durch Beispielrechnungen sichtbar zu machen. Wenn man aber nur die eigenen Spektren heranziehen kann, führt dies schnell zu Ergebnissen, die nicht allgemeingültig sind. Deshalb meine Bitte an alle, die gamma Cas schon beobachtet haben, mir doch 2 - 3 Spektren zur Verfügung zu stellen. Diese müssten allerdings kalibriert aber unnormiert sein. Wenn Flatfields vorhanden sind, sollten diese mit beigelegt oder schon in der Reduktion berücksichtigt sein.

In diesem Zusammenhang möchte ich anregen, dass man doch seine Spektren in unserer Datenbank der Allgemeinheit zugänglich macht. Natürlich hat jeder erst einmal das Vorrecht, seine eigenen Spektren zu verwerten und die Früchte seiner Arbeit zu ernten, wie Ernst kürzlich mit der Beobachtung des He-Ausbruchs. Ich denke, dass es unserer aller Intension enspricht, aus unseren Beobachtungen möglichst viel Erkenntnisse zu ziehen und da hilft bei eigenen Untersuchungen oftmals Fremdmaterial.

Bevor wir vielleicht aus unserer bisherigen Diskussion eine vorerst abschließende Zwischenbilanz ziehen, möchte ich doch noch eine Frage in die Runde werfen:
Das Langzeitmonitoring der EW der Halpha-Linie war und ist ein Hauptanliegen des Gemeinschaftsprojekts (durch Ernst seit 1993). Hinzugekommen ist die Beobachtung der He6678-Linie und die Radialgeschwindigkeitsmessung durch mich seit 2006.
Für mich und auch im Hinblick der künftigen Möglichkeiten durch hoffentlich weitere Beobachter, stellt sich die Frage, ob im gam Cas Spektrum noch weitere Merkmale für eine sinnvolle Überwachung enthalten sind.
Konkret: wäre es z.B. eine sinnvolle Ergänzung, wenn ich in meinen Spektren versuchen würde, die He5875-Linie auszuwerten. Bei dieser erreiche ich evtl. im Gegensatz zur He6678-Linie ein ausreichendes S/N.

Sollten wir eine kleine Auflistung erarbeiten, die enthält, was an welcher Linie interessant (EW, Profil, RV, V/R etc) ist und welche instrumentellen Voraussetzung für eine Beobachtung erforderlich sind?

Herzliche Grüße
Roland


Nach oben
   
 Betreff des Beitrags:
BeitragVerfasst: 14. März 2009, 14:47:43 PM 
Offline
Meister
Benutzeravatar

Registriert: 01. August 2006, 16:08:56 PM
Beiträge: 3866
Wohnort: 68163 Mannheim
Hallo Roland,

meine neueren Spektren (Lhires) sind in der Datenbank.

Ich habe aber noch eine Reihe älterer, die ich mit der Mäusevilla aufgenommen habe bei R = 3000 oder so. Nicht nur Ha, sondern auch in anderen Wellenlängenbereichen.
M.E. sind auch weitere Emissionslinien interessant, insbesondere die Hb- und He-Linien sowie die Fe-Linien. So kann man unterschiedliche Bereiche der Scheibe abbilden.

Die Bestimmung der "RV" ist bei diesen Linien aber schwieriger, weil sie meist ein deutliches Doppelpeakprofil zeigen.

Lieber Gruß
Lothar

_________________
Herzliche Grüße / best regards

Lothar

https://lotharschanne.wordpress.com/


Nach oben
   
 Betreff des Beitrags: gamma Cas
BeitragVerfasst: 14. März 2009, 16:11:36 PM 
"Roland Bücke" schrieb:

Sollten wir eine kleine Auflistung erarbeiten, die enthält, was an welcher Linie interessant (EW, Profil, RV, V/R etc) ist und welche instrumentellen Voraussetzung für eine Beobachtung erforderlich sind?

...hallo Roland, das sollten wir unbedingt tun, zumahl dieser Wunsch bereits von Anderen (mir gegenüber) geäussert worden ist; eine solche Übersicht wäre hilfreich zur Unterstützung eigener Beobachtungsintentionen.
Vielleicht äussert sich auch noch Bernd Hanisch dazu; soweit ich mich recht erinnere, arbeitet er an etwas Ähnlichem.
Ernst


Nach oben
   
 Betreff des Beitrags: gamma Cas
BeitragVerfasst: 15. März 2009, 13:00:56 PM 
Offline
Meister

Registriert: 17. Dezember 2006, 13:03:43 PM
Beiträge: 235
Vielleicht äussert sich auch noch Bernd Hanisch dazu; soweit ich mich
Zitat:
recht erinnere, arbeitet er an etwas Ähnlichem.
Ernst

Hallo Be-Stern-Beobachter,

anbei eine kleine Übersicht über meine Be-Stern-Beobachtungen aus der letzten Zeit. Vielleicht sind sie, trotz meiner bescheidenen Mittel, für den einen oder anderen zumindest für Überblickszwecke von Interesse. Einige EW´s von H-Beta muss ich allerdings noch auswerten.

zu Gamma Cas:

Sicherlich ist die Überwachung vo H-Beta, H-Gamma und der He-Linien auch interessant. Ebenso erscheinen mir aber die sehr breiten Absorptionen der höheren Balmerglieder für eine nähere Betrachtung geeignet. Sind diese durch Druck und/oder schnelle Rotation derart breit?

Viele Grüße

Bernd






--
Nur bis 16.03.! DSL-Komplettanschluss inkl. WLAN-Modem für nur
17,95 ¿/mtl. + 1 Monat gratis!* http://dsl.gmx.de/?ac=OM.AD.PD003K11308T4569a


Dateianhänge:
Be2002-2008.doc [2.61 MiB]
554-mal heruntergeladen
Nach oben
   
 Betreff des Beitrags: gamma Cas
BeitragVerfasst: 16. März 2009, 10:57:03 AM 
Offline
Meister

Registriert: 17. Dezember 2006, 13:03:43 PM
Beiträge: 235
Hallo Roland,

Noch ein Wort zu meiner Normierung/EW-Bestimmung:

Im Prinzip gehe ich sehr "hemdsärmlich" vor und setze das Kontinuum nach Gefühl ohne Polynome o.ä. . Ich scanne bei H-Alpha den Rotkanal mit Image J, ziehe den gemittelten Hintergrund (oben und unten) ab und mache in Excel eine Ein-Punkt-Kalibrierung bei der größten Intensität linear mit der für diesen Bereich gültigen Dispersion von 1,2 A/Px. Dann normiere ich mit MK 32 in "freier Hand". Bei der Integration achte ich genau darauf, dass ich die Punkte dort setze, wo das Kontinuum 1 ist. Ich mache die Normierung und die EW-Bestimmung bei einem Spektrum 5-6 mal und sehe dann, wie das Ergebnis schwankt. Den Mittelwert nehme ich dann. Mehr ist mir bei meinen Verhältnissen (kleine Dispersion)mit vertretbarem Aufwand auch nicht möglich und m. E. auch nicht sinnvoll. Meinen Fehler schätze ich auf 5-10 %. Vielleicht zu optimistisch? Zumindest habe ich in Vergleichsmessungen (Gamma Cas, Beta Psc, Zeta Tau) mit der FG aber auch bei 48 Lib und Phi Per mit Anatoli Miroshnishenko und bei Chi Oph mit der französischen Gruppe so im vergleichbaren Bereich gelegen. Man muss nur darauf achten, dass man nicht bei jeder Normierung ein "anderes Gefühl" hat.

PS: Deinem Beobachtungsvorschlag kann ich zustimmen.

Viele Güße

Bernd



-------- Original-Nachricht --------
Zitat:
Datum: Sun, 15 Mar 2009 21:17:19 +0100
Von: "Roland Bücke"
Betreff: [fg-spek] Re: gamma Cas
Hallo,
vielen Dank Bernd für deinen ausführlichen Beobachtungsbericht und deine
Vorschläge zur gamma Cas Überwachung. Auf dieser Basis
will ich mal mit der Zusammenstellung der für die Beobachtung relevanten
spektralen Eigenschaften von gamma Cas beginnen und bitte euch dies im
Dialog hier zu korrigieren / ergänzen / diskutieren:


Nach oben
   
 Betreff des Beitrags:
BeitragVerfasst: 16. März 2009, 14:00:43 PM 
Offline
Meister
Benutzeravatar

Registriert: 02. August 2006, 13:01:07 PM
Beiträge: 503
Wohnort: Hamburg
Hallo Bernd,

jeder Beobachter hat bei der EW-Bestimmung seine eigenen Erfahrungen gemacht und dementsprechend auch seine eigene Vorgehensweise. Dies kann auch so bleiben.
Die Diskussion hat uns aber mehr Klarheit darüber verschafft, woher Unterschiede in den Ergebnissen der Beobachter kommen, ob Chancen bestehen, die Genauigkeit und Übereinstimmung weiter zu steigern und wenn ja, welche Möglichkeiten wir dazu haben. Auch die Bewertung des bisherigen Langzeitmonitorings wird durch diese Analyse differenzierter und klarer.

Herzliche Grüße
Roland


Nach oben
   
 Betreff des Beitrags: gamma Cas
BeitragVerfasst: 16. März 2009, 16:32:22 PM 
"Roland Bücke" schrieb:

jeder Beobachter hat bei der EW-Bestimmung seine eigenen Erfahrungen gemacht und dementsprechend auch seine eigene Vorgehensweise. Dies kann auch so bleiben.
Die Diskussion hat uns aber mehr Klarheit darüber verschafft, woher Unterschiede in den Ergebnissen der Beobachter kommen, ob Chancen bestehen, die Genauigkeit und Übereinstimmung weiter zu steigern und wenn ja, welche Möglichkeiten wir dazu haben. Auch die Bewertung des bisherigen Langzeitmonitorings wird durch diese Analyse differenzierter und klarer.


...hallo Roland,
dein obiges statement zusammen mit deinem Fazit aus deiner Polynom-Normierungsuntersuchung von gestern hätte "die Normierungsfrage" und den damit verbundenen Problemen nicht besser darlegen können, wenngleich eine Universallösung aus der Gesamtuntersuchung incl. ihrer Diskussion nicht angeboten werden kann.
Die tabellarische EW-Gegenüberstellung der 4 Spektren (Bücke/Pollmann/Schanne) in der Polynom-Normierungsuntersuchung zeigt mir jedenfalls, dass bei gCas, Halpha-EW´s verschiedener Beobachter mit verschiedenen Instrumenten, Unterschiede von bis zu 2 Angstr. "geradezu" zu erwarten sind (wenn wir weiterhin den Integrationsbereich 6530-6600 zugrunde legen).

Beste Grüße,
Ernst


Nach oben
   
 Betreff des Beitrags:
BeitragVerfasst: 16. März 2009, 21:16:39 PM 
Offline
Meister
Benutzeravatar

Registriert: 02. August 2006, 13:01:07 PM
Beiträge: 503
Wohnort: Hamburg
Hallo Ernst,
Zitat:
wenn wir weiterhin den Integrationsbereich 6530-6600 zugrunde legen
Meiner Meinung nach sollten wir diesen Integrationsbereich vorerst beibehalten, da er den Linienbereich zumindest zum gegenwärtigen Zeitpunkt gut erfasst. Mit einer Erweiterung sollte man zwar theoretisch auf der sicheren Seite sein, aber praktisch haben wir ja gesehen, wie schwierig die Festlegung des Kontinuums bei einer so breiten Linie ist. Wir würden uns damit wahrscheinlich eher neue Ungenauigkeiten einhandeln.
Allerdings sollten wir bei einer weiteren Vergrößerung der EW den Linienbereich im Auge behalten. Ist zu erwarten, dass mit steigender EW auch die Linie breiter wird?

Gruß
Roland


Nach oben
   
 Betreff des Beitrags: gamma Cas
BeitragVerfasst: 17. März 2009, 12:25:44 PM 
"Roland Bücke" <rb@buecke.de> schrieb:

Ist zu erwarten, dass mit steigender EW auch die Linie breiter wird?

...hallo Roland,
eine Zunahme in EW bedeutet mehr Masseneintrag in die Scheibe.
Bei angenommener gleichmäßiger Verteilung sollten dann auch die sternnahen Scheibenbereiche , also auch die Linienflügel davon betroffen sein.
Meiner Meinung nach jedoch nur in ihrer Intensität, nicht dagegen in vsin i (Breite).
Sollte jedoch ein höherer äquatorialer Massenabfluß auf eine Zunahme der Rotationsgeschwindigkeit des Zentralsterns zurückzuführen sein, wäre auch die Flügelbreite davon betroffen.
Das wäre ein Ding.....bliebe aber erstmal abzuwarten, ob dies überhaupt beobachtbar ist.

Ernst


Nach oben
   
 Betreff des Beitrags:
BeitragVerfasst: 21. März 2009, 15:42:36 PM 
Offline
Meister
Benutzeravatar

Registriert: 01. August 2006, 16:08:56 PM
Beiträge: 3866
Wohnort: 68163 Mannheim
Hallo,

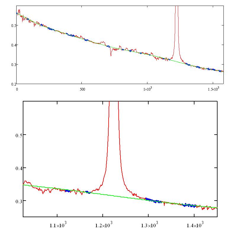
anbei ein extremes Beispiel für die "Möglichkeiten" der Messung von EW's für gam Cas.

Spektrum gemessen am 18.3. mit 1800/mm Gitter und 0,20 Angström/Pix. S/N >600.

Auf der langwelligen Seite der Ha-Linie geht ihr scattering-Flügel über 6600A hinaus, auf der kurzwelligen möglicherweise bis 6460A (???). Berücksichtigt man das, ergibt sich natürlich eine viel höhere EW wie "gewohnt". Die Normierungsfunktion habe ich in diesem Bereich linear gelassen (das gemessene Spektrum bietet eigentlich keine begründete Möglichkeit, andere Kontinuumsverläufe anzunehmen).

Aequivalentweite = -47.24A in [6464.53,6640.17]


Viele Grüße
Lothar


Dateianhänge:
EW.gif
EW.gif [ 13.26 KiB | 38044 mal betrachtet ]
gamCas_Ha_20090318_normiert.gif
gamCas_Ha_20090318_normiert.gif [ 9.54 KiB | 38044 mal betrachtet ]
Kontinuum.gif
Kontinuum.gif [ 9.24 KiB | 38044 mal betrachtet ]
gamCas_Ha_20090318_Roh#2.gif
gamCas_Ha_20090318_Roh#2.gif [ 13.56 KiB | 38044 mal betrachtet ]
Rohspektrum_gamCas_20090318.gif
Rohspektrum_gamCas_20090318.gif [ 11.28 KiB | 38044 mal betrachtet ]

_________________
Herzliche Grüße / best regards

Lothar

https://lotharschanne.wordpress.com/
Nach oben
   
 Betreff des Beitrags: gamma Cas
BeitragVerfasst: 21. März 2009, 18:00:56 PM 
Offline
Meister
Benutzeravatar

Registriert: 17. Dezember 2006, 15:08:21 PM
Beiträge: 904
Wohnort: Neckarsteinach
Hallo Lothar,

Lothar Schanne schrieb:
Zitat:
Die Normierungsfunktion habe ich in diesem Bereich linear
gelassen (das gemessene Spektrum bietet eigentlich keine begründete
Möglichkeit, andere Kontinuumsverläufe anzunehmen).
Das Spektrum demonstriert wirklich drastisch, dass die Äquivalentbreite
von breiten Linien sehr stark von dem angenommenen Kontinuum abhängt.
Ich denke es ist klar, dass das Kontinuum hier relativ willkürlich
gelegt wurde. Insbesondere glaube ich kaum, dass es tatsächlich einen so
starken blauen Flügel gibt.

Ist das Spektrum mit einem Flatfield reduziert worden? Wenn ja, dann
solltest Du erwägen, auch noch einen Standardstern aufzunehmen, um das
Kontinuum zu begradigen. Nach dem Flatfielden könnte das Kontinuum immer
noch merklich gekrümmt sein. Jedenfalls glaube ich kaum, dass das
Kontinuum hier gut mit einer Geraden angenähert werden kann. Aber ich
denke, da stimmen wir überein.

Herzliche Grüße,
Otmar


Nach oben
   
 Betreff des Beitrags: gamma Cas
BeitragVerfasst: 21. März 2009, 18:45:24 PM 
"Lothar Schanne" <l.schanne@arcor.de> schrieb:

anbei ein extremes Beispiel für die "Möglichkeiten" der Messung von EW's für gam Cas.


...meine Absicht, darauf einzugehen hat sich mit Otmar´s statement erledigt, dem könnte ich nichts weiteres hinzufügen.
Doch...noch eines:
natürlich bin ich auch in diesem Spektrum scharf auf die He6678-Emission. Lothar, könnte ich es als fits-File bekommen?

Beste Grüße,
Ernst


Nach oben
   
Beiträge der letzten Zeit anzeigen:  Sortiere nach  
Ein neues Thema erstellen  Auf das Thema antworten  [ 58 Beiträge ]  Gehe zu Seite 1 2 Nächste

Alle Zeiten sind UTC+02:00


Wer ist online?

Mitglieder in diesem Forum: 0 Mitglieder und 1 Gast


Du darfst keine neuen Themen in diesem Forum erstellen.
Du darfst keine Antworten zu Themen in diesem Forum erstellen.
Du darfst deine Beiträge in diesem Forum nicht ändern.
Du darfst deine Beiträge in diesem Forum nicht löschen.
Du darfst keine Dateianhänge in diesem Forum erstellen.

Suche nach:
Gehe zu:  
Powered by phpBB® Forum Software © phpBB Limited
Deutsche Übersetzung durch phpBB.de