Forum der Vereinigung der Sternfreunde

Forum of the German Amateur Astronomy Association
Aktuelle Zeit: 23. November 2025, 10:24:06 AM

Alle Zeiten sind UTC+02:00




Ein neues Thema erstellen  Auf das Thema antworten  [ 35 Beiträge ] 
Autor Nachricht
 Betreff des Beitrags: 67P / Churyumov-Gerasimenko
BeitragVerfasst: 14. August 2021, 12:27:12 PM 
Offline
Dauernutzer
Benutzeravatar

Registriert: 20. Oktober 2016, 07:46:12 AM
Beiträge: 131
Wohnort: Zwischen HH und HB
hallo Forum,

endlich konnte ich länger in die zweite Nachthälfte hinein Kometen "jagen" .
Neben 4P sah ich auch 67 P, beides allerdings alte Bekannte für mich.

Ich war überrascht wie hell und deutlich 67P in nur 25° ausschaute,
da der Himmel war zudem partiell leicht verschleiert.

14.8.2021, 2:03 MESZ, Region SQL 20.55mag
21" Dobson, V 155x

13.3mag, DC 4/5 , Durchmesser 0.8`

67P lohnt sicherlich in größerer Höhe, auch für kleinere Optiken, da er kompakt erscheint.

Gruß
Christian


Nach oben
   
 Betreff des Beitrags: Re: 67P / Churyumov-Gerasimenko
BeitragVerfasst: 14. August 2021, 16:38:12 PM 
Offline
Meister
Benutzeravatar

Registriert: 04. Juni 2018, 16:12:24 PM
Beiträge: 260
Wohnort: Linter
Hallo Christian,

danke für den Hinweis! Hatte den heute morgen gar nicht auf dem Schirm. Wird allerdings für mich noch etwas grenzwertig sein, aber wenn gut kondensiert, auf jeden Fall einen Versuch wert. Der Komet wird im Herbst ja nett in Opposition zu beobachten sein.

Ich versuche heute Nacht erstmal meine erste Beobachtung von C/2017 K2 zu erhalten.

Maik


Nach oben
   
 Betreff des Beitrags: Re: 67P / Churyumov-Gerasimenko
BeitragVerfasst: 18. August 2021, 11:11:38 AM 
Offline
Meister
Benutzeravatar

Registriert: 01. Juli 2018, 21:40:23 PM
Beiträge: 439
Wohnort: Tucson, Arizona
Hello Christian, Maik,

Here is an image of 67P near the barred spiral galaxy NGC 645 that I took on 2 August. This 120 second image managed to show both the comet and magnitude 13.5 galaxy fairly well with some thin clouds in the area. The comet was magnitude 13.1, had at least a 19" coma and a tail at least 4' long at PA of 247 degrees.


Dateianhänge:
67P_20210802_1031_molason.jpg
67P_20210802_1031_molason.jpg [ 406.11 KiB | 9418 mal betrachtet ]

_________________
Cheers, Mike
:lol: Arizona
Nach oben
   
 Betreff des Beitrags: 67P mit grünlicher Koma
BeitragVerfasst: 09. September 2021, 21:50:33 PM 
Offline
Meister

Registriert: 02. September 2017, 10:40:01 AM
Beiträge: 728
Hallo Ich habe 67 P schon in mehrere Umläufen beobachtet. Doch ein grünliche Gaskoma ist mir bisher nicht aufgefallen. Bereits 2 Monate vor dem Perihel tut sich da enorm viel auf dem guten Tschuri.
Die Aufnahme ist vom 9. September mit nur 30 Minuten Gesamtbelichtungszeit. Gruß Michael


Dateianhänge:
67P20210909UT0023min30web.jpg
67P20210909UT0023min30web.jpg [ 1.61 MiB | 9256 mal betrachtet ]
Nach oben
   
 Betreff des Beitrags: Re: 67P mit grünlicher Koma
BeitragVerfasst: 12. September 2021, 11:31:39 AM 
Offline
Meister

Registriert: 02. September 2017, 10:40:01 AM
Beiträge: 728
Die grünliche Koma bleibt deutlich - Aufnahme vom 11.9. 9x4 Minuten mit der Z6


Dateianhänge:
67P20210911UT0025sec9x240web_2.jpg
67P20210911UT0025sec9x240web_2.jpg [ 1.73 MiB | 9155 mal betrachtet ]
Nach oben
   
 Betreff des Beitrags: Re: 67P / Churyumov-Gerasimenko
BeitragVerfasst: 20. September 2021, 07:05:24 AM 
Offline
Meister
Benutzeravatar

Registriert: 20. Januar 2013, 20:03:54 PM
Beiträge: 1958
Wohnort: Leipzig
Oliver Schneider schrieb:

nach dem Urlaub konnte ich heute morgen zwei Kometen ablichten.
67P/Churyumov-Gerasimenko und 4P/Faye
[in diesem Beitrag sind nur die Bilder von 67P, Uwe].

S/W Bilder / 340mm Hypergraph bei 1096mm Brennweite / QHY268m-PH / 2x2 Binning
Farbbilder / 305mm Newton bei 1186mm Brennwiete / ZWO Asi 2600mcpro / 2x2 Binning

Hier erste Ergebnisse.
67P zeigt dabei eine ungewöhnliche Kernregion, die etwas länglich erscheint.
Es liegt nicht an der Belichtungszeit, auch kürzer belichtete Bilder zeigen diese Struktur.

67P wurde 15x60sec und 4P 6x60sec. belichtet, dann waren Wolken da.




Bild

Bild

_________________
Uwe Pilz, Fachgruppen Kometen und Astrophysik/Algorithmen.
Oft benutzte Instrumente: Fujinon 16x70 FMT-SX-2, TMB Apo 105/650, Skywatcher Evostar 120/900 ED, Ninja Dobson 320/1440, Smartscope Dwarf-3


Nach oben
   
 Betreff des Beitrags: Re: 67P / Churyumov-Gerasimenko
BeitragVerfasst: 16. Oktober 2021, 21:58:18 PM 
Offline
Dauernutzer

Registriert: 14. September 2017, 11:30:14 AM
Beiträge: 130
Dateianhang:
67pa_2.jpg
67pa_2.jpg [ 1.14 MiB | 8660 mal betrachtet ]
Hallo,
heute Morgen hatten wir ein sehr schönes Motiv als der Komet weniger als ein Monddurchmesser an M 35 vorbeizog.
Aufnahme mit 8" / 3.2 Sharpstar und Canon Ra, 12 x 3 min.

Lg
Norbert


Nach oben
   
 Betreff des Beitrags: Re: 67P / Churyumov-Gerasimenko
BeitragVerfasst: 16. Oktober 2021, 22:30:18 PM 
Offline
Meister
Benutzeravatar

Registriert: 16. Juli 2021, 07:57:49 AM
Beiträge: 2794
Wohnort: Timmendorfer Strand
Mojn,

eine eindrucksvolle Aufnahme! Neben M35 befindet sich ja NGC 2158, der einmal um 1960 herum von jemanden für einen Kometen gehalten wurde und sich nicht überzeugen ließ, daß er im Irrtum war (lt. Protokollbuch der alten Lübecker Sternwarte). Der Sternhaufen wurde dann intern als der Komet (Name wird nicht verraten) bezeichnet.

Grüsse

Michael

_________________
Michael Möller (MMI)


Nach oben
   
 Betreff des Beitrags: Re: 67P / Churyumov-Gerasimenko
BeitragVerfasst: 18. Oktober 2021, 06:37:46 AM 
Offline
Meister
Benutzeravatar

Registriert: 20. Januar 2013, 20:03:54 PM
Beiträge: 1958
Wohnort: Leipzig
Jorma Ryske aus Finnland hat Aufnahmen des Kometen mit einem Schmalbandfilter im nahen UV angefertigt. Er entdeckte zwei Schweife in des Positionswinkeln 240° und 110°, was er auf CN-Emissionen zurückführt, welche bei einer Wellenlänge von 339 nm liegen.

Hier das Bild:
Bild

_________________
Uwe Pilz, Fachgruppen Kometen und Astrophysik/Algorithmen.
Oft benutzte Instrumente: Fujinon 16x70 FMT-SX-2, TMB Apo 105/650, Skywatcher Evostar 120/900 ED, Ninja Dobson 320/1440, Smartscope Dwarf-3


Nach oben
   
 Betreff des Beitrags: Re: 67P / Churyumov-Gerasimenko
BeitragVerfasst: 21. Oktober 2021, 18:33:25 PM 
Offline
Nutzer

Registriert: 13. Januar 2021, 18:14:13 PM
Beiträge: 33
Hallo Kometenfreunde,

am 16.10.2021 konnte ich die Begegnung des Kometen mit M 35 und Ngc 2158 auch festhalten.
Auf mmeiner Seite:
http://www.balkonsternwarte.de/Kometen/67p_16_10_2021/
findet ihr noch weitere Aufnahmen davon.

Viele Grüße
Oliver Schneider


Dateianhänge:
67P_16_10_2021_qhy.gif
67P_16_10_2021_qhy.gif [ 6.98 MiB | 8410 mal betrachtet ]
Nach oben
   
 Betreff des Beitrags: Re: 67P / Churyumov-Gerasimenko
BeitragVerfasst: 02. November 2021, 12:08:18 PM 
Offline
Meister

Registriert: 02. September 2017, 10:40:01 AM
Beiträge: 728
Unter sehr guten Bedingungen konnte ich am 1.11. den dust trail nachweisen. Das Bild hat in der Breite 3 Grad. Gruß Michael


Dateianhänge:
67P20211101green.jpg
67P20211101green.jpg [ 1.41 MiB | 8144 mal betrachtet ]
Nach oben
   
 Betreff des Beitrags: Re: 67P / Churyumov-Gerasimenko
BeitragVerfasst: 02. November 2021, 12:16:16 PM 
Offline
Meister
Benutzeravatar

Registriert: 16. Juli 2021, 07:57:49 AM
Beiträge: 2794
Wohnort: Timmendorfer Strand
Hallo Michael,

die Aufnahme ist wirklich bahnbrechend. So etwas habe ich noch nie irgendwo gesehen.

Grüsse

Michael

_________________
Michael Möller (MMI)


Nach oben
   
 Betreff des Beitrags: Re: 67P / Churyumov-Gerasimenko
BeitragVerfasst: 02. November 2021, 18:38:02 PM 
Offline
Dauernutzer

Registriert: 14. September 2017, 11:30:14 AM
Beiträge: 130
Sensationelles Bild Michael!!! Ob Rosetta vielleicht ein paar löcher in die Oberfläche geschlagen hat?


Nach oben
   
 Betreff des Beitrags: Re: 67P / Churyumov-Gerasimenko
BeitragVerfasst: 02. November 2021, 18:57:48 PM 
Offline
Dauernutzer

Registriert: 29. März 2020, 15:51:29 PM
Beiträge: 102
Hallo Michael,

das sieht ja sehr beeindruckend aus! Ich frage mich gerade, was die Flächenhelligkeit des dust trail ist? Kannst Du das anhand der Aufnahme abschätzen? Dürfte ja in der Größenordnung von galaktischem Cirrus sein oder ein Stück weiter vom Kometen weg noch schwächer.

Clear skies

Robin


Nach oben
   
 Betreff des Beitrags: Re: 67P / Churyumov-Gerasimenko
BeitragVerfasst: 02. November 2021, 19:14:07 PM 
Offline
Meister

Registriert: 02. September 2017, 10:40:01 AM
Beiträge: 728
Hallo Robin Schwer zu sagen, ich sehe den dünnen Schweif angedeutet auf den Einzelaufnahmen in allen Farbkanälen. In Farbe sieht das so aus.


Dateianhänge:
zrgbfertig_3.jpg
zrgbfertig_3.jpg [ 3.61 MiB | 8096 mal betrachtet ]
Nach oben
   
 Betreff des Beitrags: Re: 67P / Churyumov-Gerasimenko
BeitragVerfasst: 04. November 2021, 13:49:08 PM 
Offline
Meister

Registriert: 02. September 2017, 10:40:01 AM
Beiträge: 728
Auch am 3.11. konnte ich den dust trail nachweisen, Aufnahme um 1.00 UT in RGB Blaugrün und Rot


Dateianhänge:
red_3.jpg
red_3.jpg [ 1.75 MiB | 7955 mal betrachtet ]
bluegreen_2.jpg
bluegreen_2.jpg [ 2.17 MiB | 7955 mal betrachtet ]
67P20211103RGBlastweb.jpg
67P20211103RGBlastweb.jpg [ 2.71 MiB | 7955 mal betrachtet ]
Nach oben
   
 Betreff des Beitrags: Re: 67P / Churyumov-Gerasimenko
BeitragVerfasst: 11. November 2021, 11:32:11 AM 
Offline
Nutzer

Registriert: 13. Januar 2021, 18:14:13 PM
Beiträge: 33
Hallo
Ich konnte den Kometen am 10.10. morgens ablichten.
Der Schweif war länger als mein Gesichtsfeld des C11 Hyperstar mit Canon Eos 6da.


Dateianhänge:
Dateikommentar: 23:55-00:20 UT, 15x60sec, 340mm Hypergraph + Qhy268m-PH, 2x2bin, Leopoldhöhe
67P_Ani.gif
67P_Ani.gif [ 2.54 MiB | 7709 mal betrachtet ]
Dateikommentar: 23:55-00:20 UT, 15x60sec, 340mm Hypergraph + 305mm Newton, 1096mm, Qhy268m-PH + ASI 2600mc-pro, 2x2bin, Leopoldhöhe
465.jpg
465.jpg [ 399.3 KiB | 7709 mal betrachtet ]
Dateikommentar: C11 Hyperstar, Canon Eos 6da, 8x120sec, Iso 1600
466.jpg
466.jpg [ 454.94 KiB | 7709 mal betrachtet ]
Nach oben
   
 Betreff des Beitrags: Re: 67P / Churyumov-Gerasimenko
BeitragVerfasst: 17. November 2021, 17:36:06 PM 
Offline
Neueinsteiger

Registriert: 17. November 2021, 16:21:02 PM
Beiträge: 3
Hallo Zusammen,

ein Astronomiekollege hat mich bei der Besprechung eines (zufällig entdeckten) scheinbaren Gegenschweifs in meinen Aufnahme von 67P vom 6. November auf diesen Beitrag aufmerksam gemacht. Habe mich daher soeben hier im Forum angemeldet - dies also mein erster Beitrag.

Anbei meine Aufnahme mit 85mm Öffnung und ca. 6° Gesichtsfeld auf der X-Bildseite, aus einer Kleinstadt zu Beginn der astronomischen Dämmerung aufgenommen (als der Nebel kurz weggezogen war), SQM am Zenit war zwischen 20,3 und 20,1 MPSAS. Weitere Details in der Bildlegende.

Viele Grüße

Carl


Dateianhänge:
2021-11-06-67P.jpg
2021-11-06-67P.jpg [ 517.82 KiB | 7543 mal betrachtet ]
Nach oben
   
 Betreff des Beitrags: Re: 67P / Churyumov-Gerasimenko
BeitragVerfasst: 17. November 2021, 20:42:38 PM 
Offline
Meister

Registriert: 02. September 2017, 10:40:01 AM
Beiträge: 728
Willkommen im Forum, eine beeindruckende Leistung. Gruß Michael


Nach oben
   
 Betreff des Beitrags: Re: 67P / Churyumov-Gerasimenko
BeitragVerfasst: 18. November 2021, 02:49:53 AM 
Offline
Neueinsteiger

Registriert: 17. November 2021, 16:21:02 PM
Beiträge: 3
Vielen Dank. Es war einiges an Zufall dabei, da ich die Neigung der Bahnebene nicht auf dem Schirm hatte und schon gar nicht einen scheinbaren Gegenschweif. Mich hatte eigentlich der nicht endend wollende Schweif rechts im Bild interessiert, den ich einige Tage zuvor mit einer längeren Brennweite entdeckt hatte. Zum Glück habe ich den Fehler gemacht den Kometen nicht zu weit nach links im im Gesichtsfeld zu stellen, sonst wäre der dünne Gegenschweif wahrscheinlich gar nicht erst aufgefallen.


Nach oben
   
 Betreff des Beitrags: Re: 67P / Churyumov-Gerasimenko
BeitragVerfasst: 22. November 2021, 17:40:34 PM 
Offline
Meister
Benutzeravatar

Registriert: 20. Januar 2013, 20:03:54 PM
Beiträge: 1958
Wohnort: Leipzig
Atel 15053 berichtet von einem Ausbruch um eine halbe Größenklasse am 17. November.

Hinweis: Atel berichtet häufig von ziemlich kleinen Helligkeitsschwankungen, dort "Ausbruch" genannt. Für Kometen, die wir hier beim Wickel haben, werde ich das berichten. Für Schweifsterne der 20-mag-Klasse oder so lege ich künftig keinen neuen Zwirn an.

_________________
Uwe Pilz, Fachgruppen Kometen und Astrophysik/Algorithmen.
Oft benutzte Instrumente: Fujinon 16x70 FMT-SX-2, TMB Apo 105/650, Skywatcher Evostar 120/900 ED, Ninja Dobson 320/1440, Smartscope Dwarf-3


Nach oben
   
 Betreff des Beitrags: Re: 67P / Churyumov-Gerasimenko
BeitragVerfasst: 22. November 2021, 18:04:46 PM 
Offline
Neueinsteiger

Registriert: 17. November 2021, 16:21:02 PM
Beiträge: 3
Vielen Dank für den Link.

In Sachen Ausbrüche kann ich 29P empfehlen. Wenn ich die Aufnahmenn richtige deute, die ich 5 Wochen lang gemacht habe, hatte er seit Ende September mehrere Schübe.

Carl


Nach oben
   
 Betreff des Beitrags: Re: 67P / Churyumov-Gerasimenko
BeitragVerfasst: 23. November 2021, 07:38:23 AM 
Offline
Meister
Benutzeravatar

Registriert: 20. Januar 2013, 20:03:54 PM
Beiträge: 1958
Wohnort: Leipzig
29P "lebt" ausschließlich von Ausbrüchen, ein Perihel im klassischen Sinn gibt es bei ihm ja gar nicht. Es gibt jedes Jahr welche.
Aber in letzter Zeit waren es mehrere kräftige nacheinander, das stimmt.

_________________
Uwe Pilz, Fachgruppen Kometen und Astrophysik/Algorithmen.
Oft benutzte Instrumente: Fujinon 16x70 FMT-SX-2, TMB Apo 105/650, Skywatcher Evostar 120/900 ED, Ninja Dobson 320/1440, Smartscope Dwarf-3


Nach oben
   
 Betreff des Beitrags: Re: 67P / Churyumov-Gerasimenko
BeitragVerfasst: 07. Dezember 2021, 14:11:02 PM 
Offline
Meister
Benutzeravatar

Registriert: 16. Juli 2021, 07:57:49 AM
Beiträge: 2794
Wohnort: Timmendorfer Strand
Auf der ICQ Facebook Seite befindet sich ein Photomosaik der Staubspur von 67P, das Katsumi Yoshimoto am 6.12.21
aufgenommen hat. Die Spur ist ca. 17° lang! https://www.facebook.com/photo/?fbid=12 ... 381207448

_________________
Michael Möller (MMI)


Nach oben
   
 Betreff des Beitrags: Re: 67P / Churyumov-Gerasimenko
BeitragVerfasst: 16. Dezember 2021, 08:48:41 AM 
Offline
Meister
Benutzeravatar

Registriert: 20. Januar 2013, 20:03:54 PM
Beiträge: 1958
Wohnort: Leipzig
Gasentwicklung nach https://www.astronomerstelegram.org/?read=15117
Code:
Date UT=2021-12-02, r_h=1.27 au, Delta=0.43 au, DT=+30 days
Q(OH)=(6.33+/-0.67) E27 s-1; 
Q(CN)=(1.14+/-0.10) E25 s-1; 
Q(C2)=(8.14+/-0.13) E24 s-1; 
Q(C3)=(1.34+/-0.22) E24 s-1
A(0)fp(RC)= 853+/-14 cm

_________________
Uwe Pilz, Fachgruppen Kometen und Astrophysik/Algorithmen.
Oft benutzte Instrumente: Fujinon 16x70 FMT-SX-2, TMB Apo 105/650, Skywatcher Evostar 120/900 ED, Ninja Dobson 320/1440, Smartscope Dwarf-3


Nach oben
   
 Betreff des Beitrags: Re: 67P / Churyumov-Gerasimenko
BeitragVerfasst: 03. Januar 2022, 21:22:34 PM 
Offline
Dauernutzer

Registriert: 29. März 2020, 15:51:29 PM
Beiträge: 102
Hallo zusammen,

das ist ein Komet wie aus dem Lehrbuch. Visuell mit 20" ist mir aufgefallen, dass der Schweif auf der einen Seite dichter und auf der anderen Seite diffuser aussieht. Kommt die Verdichtung auf der einen Seite von kleinen Partikeln und ist scharf begrenzt, weil noch kleinere Partikel kein sichtbares Licht streuen? Stimmt das? Uwe, Du hattest sowas mal an Kometen simuliert.

Und der dichtere/hellere Teil sah etwas seitlich versetzt von der inneren Koma aus.

Anbei meine Skizze vom 01.01. kurz nach Mitternacht, also UT noch im alten Jahr.

Clear skies,

Robin


Dateianhänge:
67PCG20211231Robin2.jpg
67PCG20211231Robin2.jpg [ 180.7 KiB | 6437 mal betrachtet ]
Nach oben
   
 Betreff des Beitrags: Re: 67P / Churyumov-Gerasimenko
BeitragVerfasst: 04. Januar 2022, 02:14:39 AM 
Offline
Dauernutzer

Registriert: 19. Oktober 2016, 15:32:05 PM
Beiträge: 81
Hallo Freunde der Nacht,

erstmal ein gesundes neues Jahr euch allen, viele klare Nächte und allzeit Glück bei der Jagd auf die kosmischen Vagabunden !

Ich habe noch eine späte Nachlese: am Morgen des 3.Dezember hatte ich den 67P ebenfalls belichtet (noch vor dem C/2021 A1).
DIe Auswertung der Aufnahmen zeigte dann auch einen, in einigen Einzelbildern recht auffälligen, offensichtlich über den Bildrand hinausragenden "Streifen". Das es sich hier um Staub in der Bahnebene des Kometen handelt, hatte ich erst nur vermutet. Die Nachlese hier im Forum hat mich dann aufgeklärt ;-)
Das Ergebnis von 12x2 min, mit RASA8 vor einer ASI6200 MCPro, mit hochgezogenem Histogramm und 25% Auflösung, knapp 3,6 Grad Bildbreite, ist im Anhang.

Was mir allerdings noch nicht einleuchten will: warum liegt der vermutliche "Gegenschweif" nicht in einer Linie mit dem Staubschweif ?

Bei den Aufnahmen von Anfang November, von Michael und Carl, liegt der Schweif für mich schon sichtlich flacher über der Horizontalen, als der "Gegenschweif". Der wiederum steht, wenn auch viel schwächer sichtbar, in Verlängerung etwas steiler über dem Schweif. Handelt es sich hier nicht um zwei verschiedene Quellen des Streulichts ?
Ich meine: stammt das Licht des vermeintlichen Gegenschweifs nicht ebenfalls von Streulicht an Staub aus der Bahnebene ?

Anfang Dezember, wie das Bild von Katsumi Yoshimoto am 6.12.21, zeigt, ist der Schweif wieder deutlich flacher als der "dust trail". Leider hat Katsumi Yoshimoto nicht noch östlich des Schweifs weiterbelichtet ;-(


Dateianhänge:
67P_12x120s_031221_0255-0325GMT_Go_RASA8_6K2_cr_r25_high.jpg
67P_12x120s_031221_0255-0325GMT_Go_RASA8_6K2_cr_r25_high.jpg [ 2.6 MiB | 6411 mal betrachtet ]

_________________
Kind regards / Freundliche Grüße
Martin
Nach oben
   
 Betreff des Beitrags: Re: 67P / Churyumov-Gerasimenko
BeitragVerfasst: 07. Januar 2022, 09:10:14 AM 
Offline
Meister
Benutzeravatar

Registriert: 20. Januar 2013, 20:03:54 PM
Beiträge: 1958
Wohnort: Leipzig
Auch diesen Kometen hatte ich gestern im 16x70-Fernglas. Ganz in der Nähe von iota Cnc. Er schien eher diffus, rund, m1=8m8. Die Nebelfilter wirkten nicht, also visuell eher staubreich.

_________________
Uwe Pilz, Fachgruppen Kometen und Astrophysik/Algorithmen.
Oft benutzte Instrumente: Fujinon 16x70 FMT-SX-2, TMB Apo 105/650, Skywatcher Evostar 120/900 ED, Ninja Dobson 320/1440, Smartscope Dwarf-3


Nach oben
   
 Betreff des Beitrags: Re: 67P / Churyumov-Gerasimenko
BeitragVerfasst: 07. Januar 2022, 18:54:24 PM 
Offline
Dauernutzer

Registriert: 12. Dezember 2016, 18:13:53 PM
Beiträge: 174
Auf meinem Bild von gestern Abend fiel mir auch das eher tangentiale Eintreten des Schweifes in die Koma auf.

Gruß

Werner


Nach oben
   
 Betreff des Beitrags: Re: 67P / Churyumov-Gerasimenko
BeitragVerfasst: 07. Januar 2022, 21:12:26 PM 
Offline
Meister
Benutzeravatar

Registriert: 20. Januar 2013, 20:03:54 PM
Beiträge: 1958
Wohnort: Leipzig
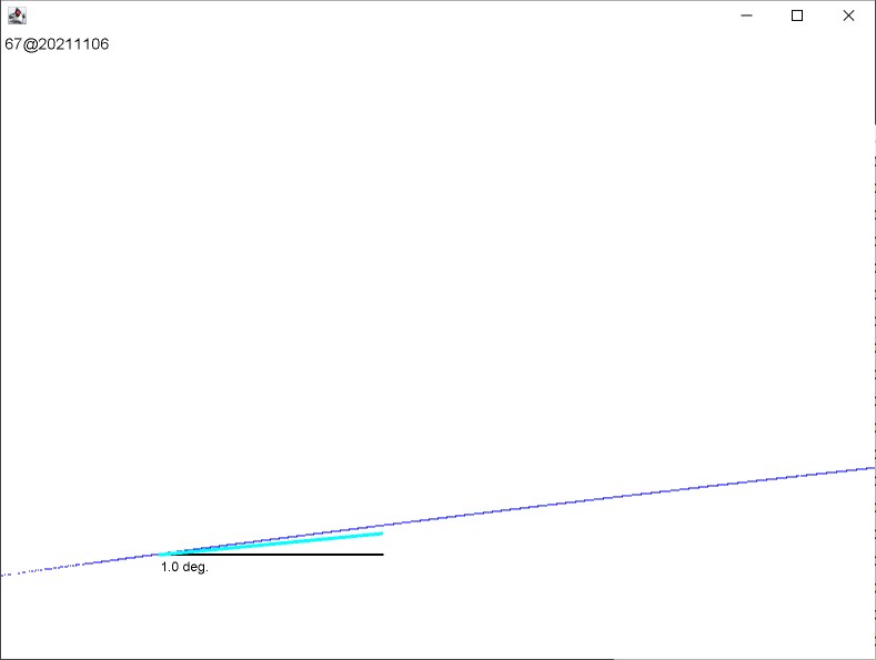
Der Schweif ist weit aufgefächert. Nur wenn wir genau in der Bahnebene stehen (6.11.). steht das alles in einer Linie. am 3.12. waren wir schn deutlich heraus.

Ich lege drei Bilder bei, die sich von den Parametern auf das Foto vom 3.12. beziehen: Gegenschweif 1 Grad, Hautschwif > 5Grad (geschätzt).
- 6.11.
- 3.12.
- 6.1.22

Hieran sieht man deutlich, wie sich unser Blickwinkel auf den Schweif verändert. Ich habe Staubteilchen zwischen 3 und 100 µm angenommen, das aist ahebr nicht höchst-verbindlich. Hier zur Referenz die Aufrufzeile:
cmttail -k67 -T20220106 -S200 -L100 -t100 -N1000 -X150 -Y100 -P100 -p3


Dateianhänge:
67p1.jpg
67p1.jpg [ 16.99 KiB | 6259 mal betrachtet ]
67p2.jpg
67p2.jpg [ 35.11 KiB | 6259 mal betrachtet ]
67p3.jpg
67p3.jpg [ 49.14 KiB | 6259 mal betrachtet ]

_________________
Uwe Pilz, Fachgruppen Kometen und Astrophysik/Algorithmen.
Oft benutzte Instrumente: Fujinon 16x70 FMT-SX-2, TMB Apo 105/650, Skywatcher Evostar 120/900 ED, Ninja Dobson 320/1440, Smartscope Dwarf-3
Nach oben
   
 Betreff des Beitrags: Re: 67P / Churyumov-Gerasimenko
BeitragVerfasst: 11. Januar 2022, 01:01:12 AM 
Offline
Dauernutzer

Registriert: 19. Oktober 2016, 15:32:05 PM
Beiträge: 81
Hallo Uwe,

ein großes dankeschön für die Details, so hatte ich mir das vorgestellt ;-)
Und wenn das mit deinem Programm auch nachvollziehbar ist, um so besser !
(Download-Link und Programm-Hilfe finde ich gerade nicht... ich bitte um Entschuldigung)

Je weiter wir also von der Bahnebene entfernt sind, um schwächer wird der "Staubstreifen".

Leider habe ich es nicht mehr ganz in Erinnerung: welche Richtung wird den hellblauen Strich angezeigt ?

_________________
Kind regards / Freundliche Grüße
Martin


Nach oben
   
 Betreff des Beitrags: Re: 67P / Churyumov-Gerasimenko
BeitragVerfasst: 11. Januar 2022, 07:15:49 AM 
Offline
Meister
Benutzeravatar

Registriert: 20. Januar 2013, 20:03:54 PM
Beiträge: 1958
Wohnort: Leipzig
Der hellblaue Strich ist die Antisolar-Richtung. Dorthin zeigt der Ionenschweif.

> Je weiter wir also von der Bahnebene entfernt sind, um schwächer wird der "Staubstreifen".

Ja, so ist es. Genau in der Bahnebene schauen wir direkt auf die Kante des Schweifes, und selbst eine geringe Teilchendichte addiert sich zum wahrnehmbaren Etwas. Weiter davon entfernt schauen wir schräg auf den Schweif und die schwachen Regionen verschwinden in der Nicht-Nachweisbarkeit.

_________________
Uwe Pilz, Fachgruppen Kometen und Astrophysik/Algorithmen.
Oft benutzte Instrumente: Fujinon 16x70 FMT-SX-2, TMB Apo 105/650, Skywatcher Evostar 120/900 ED, Ninja Dobson 320/1440, Smartscope Dwarf-3


Nach oben
   
 Betreff des Beitrags: Re: 67P / Churyumov-Gerasimenko
BeitragVerfasst: 16. Januar 2022, 13:22:32 PM 
Offline
Dauernutzer

Registriert: 19. Oktober 2016, 15:32:05 PM
Beiträge: 81
Hallo Uwe,
dein drittes Bild der Simulation war ja für den 06.01.22 gerechnet. Und welch Zufall: just am 06.01.22 war es bei uns klar (nur die erste Nachthälfte)! Da habe ich den 67P erneut fotografiert. Im Ergebnis ist immer noch der Staubstreifen zu sehen; auch der "Gegenschweif". Das Bild ist im Anhang (mit hochgezogenem Histogramm und 25% Auflösung).

Der Staubstreifen ist zwar breiter, in Übereinstimmung mit der Simulation. Überraschend für mich ist der immer noch scharfe Helligkeitsabfall am Rand des Streifens. Welcher Effekt könnte dahinter stecken ?

Die Richtung der hellsten Streifen im Staubschweif stimmte am 03.12. noch gut mit der Antisolar-Richtung überein.
Zum 06.12. hat sich diese Richtung nur wenig geändert, der Winkel zum Staubstreifen ist nur etwas größer geworden. Sie weicht jedenfalls stark ab von der Antisolar-Richtung, also Richtung des Ionenschweifs. Mir ist klar, dass der Ionenschweif was anderes ist, als der Staubschweif (bei dem seine Dynamik und Zusammensetzung seine Erscheinung viel stärker bestimmt).
Wie kann ich mir diese starke Abweichung der Richtungen erklären ?

Dankeschön, und einen schönen Sonntag !


Dateianhänge:
67P_28x120s_060122_2042-2146GMT_Sw_RASA8_6K2_cr_r25_high.jpg
67P_28x120s_060122_2042-2146GMT_Sw_RASA8_6K2_cr_r25_high.jpg [ 1.25 MiB | 5798 mal betrachtet ]

_________________
Kind regards / Freundliche Grüße
Martin
Nach oben
   
 Betreff des Beitrags: Re: 67P / Churyumov-Gerasimenko
BeitragVerfasst: 17. Januar 2022, 18:57:22 PM 
Offline
Meister
Benutzeravatar

Registriert: 20. Januar 2013, 20:03:54 PM
Beiträge: 1958
Wohnort: Leipzig
Das ist ein Überschuß von großen Partikeln. Ich habe auch das mal nachgerechnet. Damit der Streifen so scharf herauskommt wie bei dir, musste ich die Abströmgeschwindigkeit heruntersetzen. Normalerweise nehme ich 300 m/s an, das ist aber für Partikel im 100.µm-Bereich viel zu viel. Gerechnet habe ich mit 50 m/s. Außerdem habe ich eine sog. Syndyne eingeführt, also einen Überschuß schwerer Partikel. Die Schweiflänge beträgt auf deinem Bild ca. 40', bei mir in der Simulation auch. Das weist darauf hin, dass diese Abströmgeschwindigkeit und auch die Zeit bis zur Zerbröselung durch das Sonnenlicht (100 Tage) halbwegs stimmen.

Referenz: cmttail -k67 -T20220106 -S200 -L100 -t100 -N1000 -X150 -Y100 -P100 -p3 -d 100 -D0.6 -v0.05


Dateianhänge:
67p.jpg
67p.jpg [ 14.65 KiB | 5723 mal betrachtet ]

_________________
Uwe Pilz, Fachgruppen Kometen und Astrophysik/Algorithmen.
Oft benutzte Instrumente: Fujinon 16x70 FMT-SX-2, TMB Apo 105/650, Skywatcher Evostar 120/900 ED, Ninja Dobson 320/1440, Smartscope Dwarf-3
Nach oben
   
 Betreff des Beitrags: Re: 67P / Churyumov-Gerasimenko
BeitragVerfasst: 03. Februar 2022, 22:22:34 PM 
Offline
Meister

Registriert: 02. September 2017, 10:40:01 AM
Beiträge: 728
Hallo

Ich bin erst jetzt dazu gekommen, die Aufnahme vom 2.1.2022 00.30 UT auszuarbeiten. Man sieht wie auf der Farbaufnahme die diversen Schweife sehr schön.
Wenn benötigt, kann ich noch die exakte Auswertung dazu liefern. Das Feld ist ca 3x 1,5 Grad

Gruß Michael


Dateianhänge:
67P2022010210x120.jpg
67P2022010210x120.jpg [ 2.75 MiB | 5188 mal betrachtet ]
Nach oben
   
Beiträge der letzten Zeit anzeigen:  Sortiere nach  
Ein neues Thema erstellen  Auf das Thema antworten  [ 35 Beiträge ] 

Alle Zeiten sind UTC+02:00


Wer ist online?

Mitglieder in diesem Forum: 0 Mitglieder und 9 Gäste


Du darfst keine neuen Themen in diesem Forum erstellen.
Du darfst keine Antworten zu Themen in diesem Forum erstellen.
Du darfst deine Beiträge in diesem Forum nicht ändern.
Du darfst deine Beiträge in diesem Forum nicht löschen.
Du darfst keine Dateianhänge in diesem Forum erstellen.

Suche nach:
Gehe zu:  
Powered by phpBB® Forum Software © phpBB Limited
Deutsche Übersetzung durch phpBB.de