Forum der Vereinigung der Sternfreunde

Forum of the German Amateur Astronomy Association
Aktuelle Zeit: 06. Februar 2026, 20:20:42 PM

Alle Zeiten sind UTC+02:00




Ein neues Thema erstellen  Auf das Thema antworten  [ 1 Beitrag ] 
Autor Nachricht
 Betreff des Beitrags: AR 2934
BeitragVerfasst: 29. Januar 2022, 22:39:48 PM 
Offline
Dauernutzer

Registriert: 03. Februar 2020, 23:12:58 PM
Beiträge: 161
Hallo Sonnen Freunde,
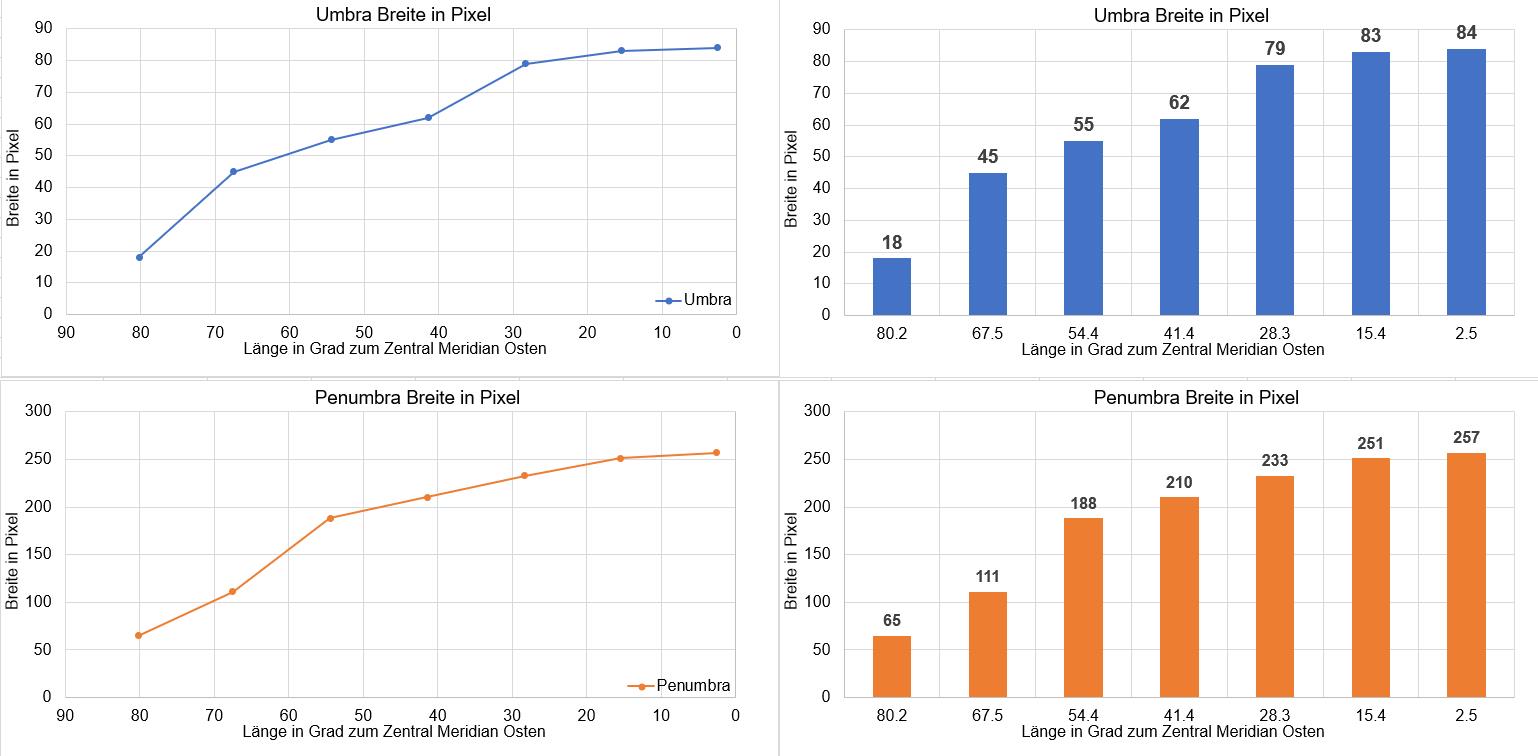
20,1,bis 26,1,2022
SDO Sonnenflecken
AR 2934
Umbra Breite in Pixel
Penumbra Breite in Pixel
Länge in Grad zum Zentral Meridian.
HMII 4096x4096.
Meine Homepage
http://manfred-chudy.webnode.com
Sonnige Grüße
Manfred


Dateianhänge:
AR 2934 Umbra Penumbra Breite_1.jpg
AR 2934 Umbra Penumbra Breite_1.jpg [ 120.84 KiB | 806 mal betrachtet ]
Nach oben
   
Beiträge der letzten Zeit anzeigen:  Sortiere nach  
Ein neues Thema erstellen  Auf das Thema antworten  [ 1 Beitrag ] 

Alle Zeiten sind UTC+02:00


Wer ist online?

Mitglieder in diesem Forum: 0 Mitglieder und 0 Gäste


Du darfst keine neuen Themen in diesem Forum erstellen.
Du darfst keine Antworten zu Themen in diesem Forum erstellen.
Du darfst deine Beiträge in diesem Forum nicht ändern.
Du darfst deine Beiträge in diesem Forum nicht löschen.
Du darfst keine Dateianhänge in diesem Forum erstellen.

Suche nach:
Gehe zu:  
Powered by phpBB® Forum Software © phpBB Limited
Deutsche Übersetzung durch phpBB.de